ГОСТ Р ИСО/ТС 10303-1021-2017 Системы автоматизации производства и их интеграция. Представление данных об изделии и обмен этими данными. Часть 1021. Прикладной модуль. Задание идентифицирующего кода
ГОСТ Р ИСО/ТС
Скачать ГОСТ в PDF или DOC бесплатно
Основная информация
Обозначение:
ГОСТ Р ИСО/ТС 10303-1021-2017
Статус:
Действует
Тип:
ГОСТ Р ИСО/ТС
Название русское:
Системы автоматизации производства и их интеграция. Представление данных об изделии и обмен этими данными. Часть 1021. Прикладной модуль. Задание идентифицирующего кода
Название английское:
Industrial automation systems and integration. Product data representation and exchange. Part 1021. Application module. Identification assignment
Даты и сроки
Дата издания:
01-28-19
Дата введения в действие:
01-01-19
Дата завершения срока действия:
-
Применение и описание
Область и условия применения:
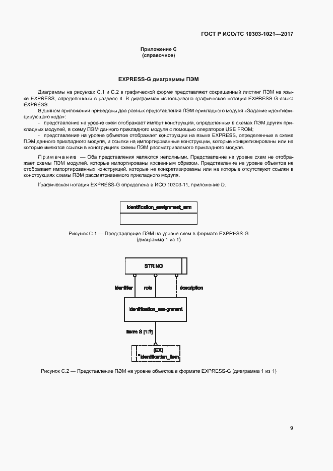
Настоящий стандарт определяет прикладной модуль «Задание идентифицирующего кода». Требования настоящего стандарта распространяются на задание идентифицирующего кода данным об изделии или действии
Связи и замены
Заменяющий:
-
Взамен:
ГОСТ Р ИСО/ТС 10303-1021-2010
Описание стандарта
ГОСТ Р ИСО/ТС 10303-1021-2017 Системы автоматизации производства и их интеграция. Представление данных об изделии и обмен этими данными. Часть 1021. Прикладной модуль. Задание идентифицирующего кода
Страницы стандарта



















