ГОСТ Р МЭК 61069-6-2017 Измерение, управление и автоматизация промышленного процесса. Определение свойств системы с целью ее оценки. Часть 6. Оценка эксплуатабельности системы
ГОСТ Р МЭК
Скачать ГОСТ в PDF или DOC бесплатно
Основная информация
Обозначение:
ГОСТ Р МЭК 61069-6-2017
Статус:
Действует
Тип:
ГОСТ Р МЭК
Название русское:
Измерение, управление и автоматизация промышленного процесса. Определение свойств системы с целью ее оценки. Часть 6. Оценка эксплуатабельности системы
Название английское:
Industrial-process measurement, control and automation. Evaluation of system properties for the purpose of system assessment. Part 6. Assessment of system operability
Даты и сроки
Дата издания:
01-24-19
Дата введения в действие:
09-01-18
Дата завершения срока действия:
-
Применение и описание
Область и условия применения:
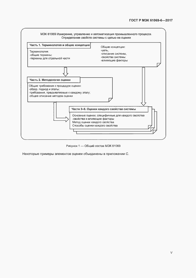
Настоящий стандарт: - устанавливает детальный метод оценки эксплуатабельности основной системы управления (ОСУ) на основании общих концепций, данных в МЭК 61069-1, и методологии оценки, приведенной в МЭК 61069-2; - устанавливает основную классификацию свойств эксплуатабельности; - описывает факторы, влияющие на эксплуатабельность, и которые необходимо учитывать при оценке эксплуатабельности; - предоставляет руководство по выбору методов из набора вариантов (с нормативными ссылками) для определения эксплуатабельности
Связи и замены
Заменяющий:
-
Взамен:
ГОСТ Р МЭК 61069-6-2012
Описание стандарта
ГОСТ Р МЭК 61069-6-2017 Измерение, управление и автоматизация промышленного процесса. Определение свойств системы с целью ее оценки. Часть 6. Оценка эксплуатабельности системы
Страницы стандарта






















