ГОСТ Р МЭК 61069-7-2017 Измерение, управление и автоматизация промышленного процесса. Определение свойств системы с целью ее оценки. Часть 7. Оценка безопасности системы
ГОСТ Р МЭК
Скачать ГОСТ в PDF или DOC бесплатно
Основная информация
Обозначение:
ГОСТ Р МЭК 61069-7-2017
Статус:
Действует
Тип:
ГОСТ Р МЭК
Название русское:
Измерение, управление и автоматизация промышленного процесса. Определение свойств системы с целью ее оценки. Часть 7. Оценка безопасности системы
Название английское:
Industrial-process measurement, control and automation. Evaluation of system properties for the purpose of system assessment. Part 4. Assessment of system safety
Даты и сроки
Дата издания:
01-23-19
Дата введения в действие:
09-01-18
Дата завершения срока действия:
-
Применение и описание
Область и условия применения:
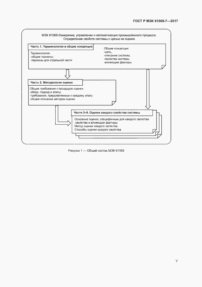
Настоящий стандарт: - устанавливает детальный метод оценки безопасности основной системы управления (ОСУ) на основании общих концепций, установленных в МЭК 61069-1, и методологии оценки, приведенной в МЭК 61069-2; - устанавливает основную классификацию свойств безопасности системы; - описывает факторы, влияющие на безопасность системы, и которые необходимо учитывать при оценке безопасности системы; и - предоставляет руководство по выбору методов из набора вариантов (с нормативными ссылками) для определения безопасности системы. Подход к вопросу безопасности в МЭК 61069 ограничивается рисками, которые может нести в себе сама система ОСУ. То есть, сама по себе ОСУ в качестве физического объекта, не будет представлять опасности. Оценка рисков, которые могут исходить от технологического процесса или управляемого оборудования ОСУ, подлежащей оценке, не входит в область применения настоящего стандарта
Связи и замены
Заменяющий:
-
Взамен:
ГОСТ Р МЭК 61069-7-2012
Описание стандарта
ГОСТ Р МЭК 61069-7-2017 Измерение, управление и автоматизация промышленного процесса. Определение свойств системы с целью ее оценки. Часть 7. Оценка безопасности системы
Страницы стандарта

















