ГОСТ Р 60.3.0.1-2017 Роботы и робототехнические устройства. Промышленные манипуляционные роботы. Системы автоматической смены рабочего органа. Термины, определения и представление характеристик
ГОСТ Р
Скачать ГОСТ в PDF или DOC бесплатно
Основная информация
Обозначение:
ГОСТ Р 60.3.0.1-2017
Статус:
Действует
Тип:
ГОСТ Р
Название русское:
Роботы и робототехнические устройства. Промышленные манипуляционные роботы. Системы автоматической смены рабочего органа. Термины, определения и представление характеристик
Название английское:
Robots and robotic devices. Manipulating industrial robots. Automatic end effector exchange systems. Vocabulary and presentation of characteristics
Даты и сроки
Дата издания:
10-20-18
Дата введения в действие:
07-01-18
Дата завершения срока действия:
-
Применение и описание
Область и условия применения:
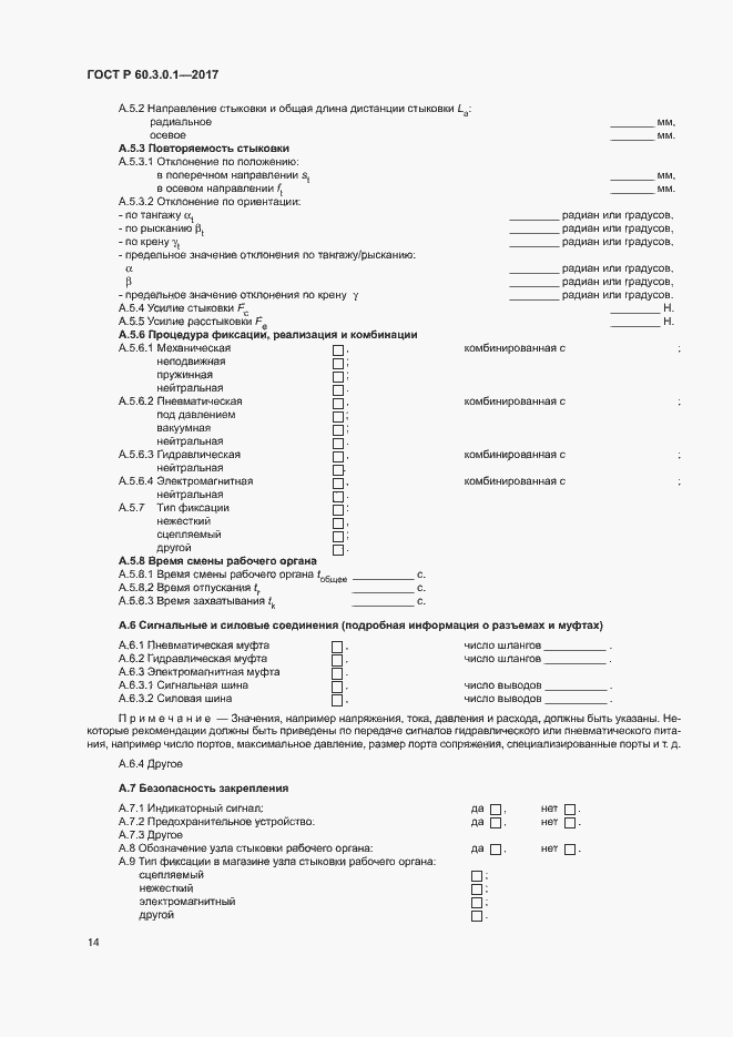
Настоящий стандарт определяет термины, относящиеся к системам автоматической смены рабочего органа, используемым в промышленных манипуляционных роботах, работающих в производственной среде. Термины представлены своими символами, единицами измерения, определениями и описаниями. Определения включают в себя применимые ссылки на существующие стандарты. В приложении А приведен формат представления характеристик систем автоматической смены рабочего органа
Связи и замены
Заменяющий:
-
Описание стандарта
ГОСТ Р 60.3.0.1-2017 Роботы и робототехнические устройства. Промышленные манипуляционные роботы. Системы автоматической смены рабочего органа. Термины, определения и представление характеристик
Страницы стандарта



















