ГОСТ Р МЭК 61069-1-2017 Измерение, управление и автоматизация промышленного процесса. Определение свойств системы с целью ее оценки. Часть 1. Терминология и общие концепции
ГОСТ Р МЭК
Скачать ГОСТ в PDF или DOC бесплатно
Основная информация
Обозначение:
ГОСТ Р МЭК 61069-1-2017
Статус:
Действует
Тип:
ГОСТ Р МЭК
Название русское:
Измерение, управление и автоматизация промышленного процесса. Определение свойств системы с целью ее оценки. Часть 1. Терминология и общие концепции
Название английское:
Industrial-process measurement, control and automation. Evaluation of system properties for the purpose of system assessment. Part 1. Terminology and basic concepts
Даты и сроки
Дата издания:
07-22-20
Дата введения в действие:
09-01-18
Дата завершения срока действия:
-
Применение и описание
Область и условия применения:
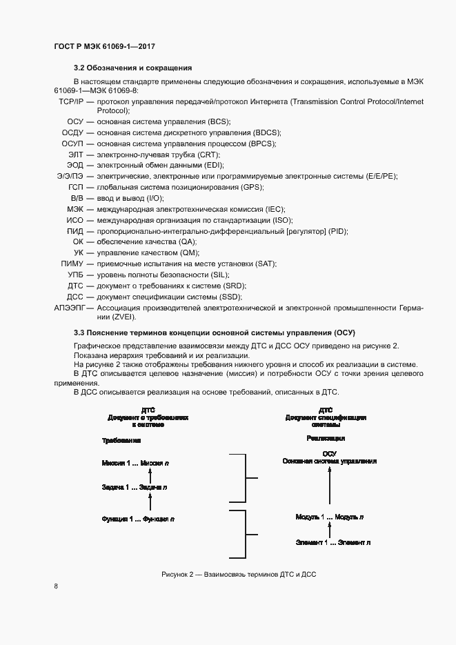
Настоящий стандарт устанавливает терминологию и определяет общие концепции оценки основной системы управления технологическими процессами (ОСУТП) и основной системы дискретного управления (ОСДУ). Эти два основных типы систем охватывают области дискретных, периодических и непрерывных применений. В МЭК 61069 системы СУОТП и ОСДУ совместно именуются как «основные системы управления» (ОСУ). Подход к вопросу безопасности в МЭК 61069 ограничивается рисками, которые может нести в себе сама система ОСУ
Связи и замены
Заменяющий:
-
Взамен:
ГОСТ Р МЭК 61069-1-2012
Описание стандарта
ГОСТ Р МЭК 61069-1-2017 Измерение, управление и автоматизация промышленного процесса. Определение свойств системы с целью ее оценки. Часть 1. Терминология и общие концепции
Страницы стандарта





































