ГОСТ ISO 22745-11-2017 Системы промышленной автоматизации и интеграция. Открытые технические словари и их применение к основным данным. Часть 11. Руководящие принципы по формулированию терминологии
ГОСТ ИСО
Скачать ГОСТ в PDF или DOC бесплатно
Основная информация
Обозначение:
ГОСТ ISO 22745-11-2017
Статус:
Действует
Тип:
ГОСТ ИСО
Название русское:
Системы промышленной автоматизации и интеграция. Открытые технические словари и их применение к основным данным. Часть 11. Руководящие принципы по формулированию терминологии
Название английское:
Industrial automation systems and integration. Open technical dictionaries and their application to master data. Part 11. Guidelines for the formulation of terminology
Даты и сроки
Дата регистрации:
11-30-17
Дата издания:
04-17-18
Дата введения в действие:
10-01-18
Дата завершения срока действия:
-
Применение и описание
Область и условия применения:
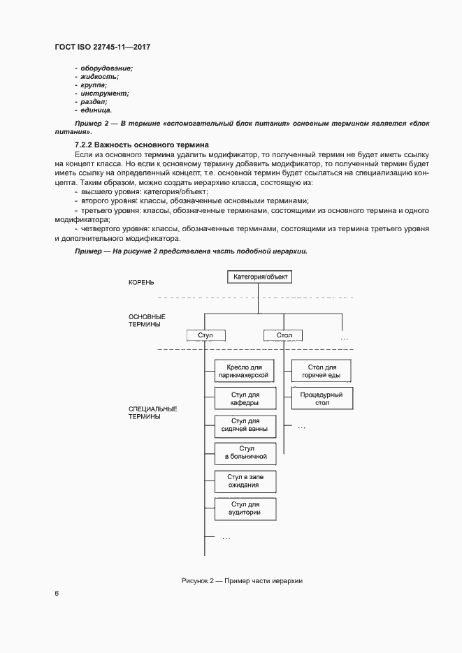
Настоящий стандарт включает в себя руководящие принципы по разработке терминов и определений концептов открытого технического словаря (OTD). В настоящем стандарте применена терминология, стандартизованная в процессе разработки и обслуживания OTD. Данная терминология не соответствует терминологии, полученной от координирующих организаций, поскольку они стандартизировали терминологию до ее включения в OТD. Настоящий стандарт распространяется на: - общие принципы; - руководящие принципы формулирования терминов на английском языке; - руководящие принципы формулирования определений на английском языке
Связи и замены
Заменяющий:
-
Описание стандарта
ГОСТ ISO 22745-11-2017 Системы промышленной автоматизации и интеграция. Открытые технические словари и их применение к основным данным. Часть 11. Руководящие принципы по формулированию терминологии
Страницы стандарта































