ГОСТ Р ИСО/ТС 10303-1163-2013 Системы автоматизации производства и их интеграция. Представление данных об изделии и обмен этими данными. Часть 1163. Прикладной модуль. Структура отдельного изделия
ГОСТ Р ИСО/ТС
Скачать ГОСТ в PDF или DOC бесплатно
Основная информация
Обозначение:
ГОСТ Р ИСО/ТС 10303-1163-2013
Статус:
Действует
Тип:
ГОСТ Р ИСО/ТС
Название русское:
Системы автоматизации производства и их интеграция. Представление данных об изделии и обмен этими данными. Часть 1163. Прикладной модуль. Структура отдельного изделия
Название английское:
Industrial automation systems and integration. Product data representation and exchange. Part 1163. Application module. Individual product structure
Даты и сроки
Дата издания:
02-06-19
Дата введения в действие:
09-01-14
Дата завершения срока действия:
-
Применение и описание
Область и условия применения:
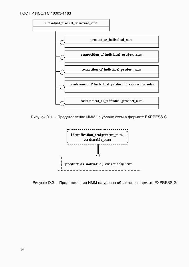
Настоящий стандарт определяет прикладной модуль «Структура отдельного изделия». В область применения настоящего стандарта входят описания: - существования отдельного изделия; - отношения часть-целое между двумя отдельными изделиями; - отношения соединения между двумя отдельными изделиями; - отношения содержания между двумя отдельными изделиями; - использования отдельного изделия для соединения между отдельными изделиями. В область применения настоящего стандарта не входят описания: - класса изделий; - принадлежности к классу изделий
Связи и замены
Заменяющий:
-
Описание стандарта
ГОСТ Р ИСО/ТС 10303-1163-2013 Системы автоматизации производства и их интеграция. Представление данных об изделии и обмен этими данными. Часть 1163. Прикладной модуль. Структура отдельного изделия
Страницы стандарта























