ГОСТ Р ИСО/ТС 10303-1242-2015 Системы автоматизации производства и их интеграция. Представление данных об изделии и обмен этими данными. Часть 1242. Прикладной модуль. Должность в организации
ГОСТ Р ИСО/ТС
Скачать ГОСТ в PDF или DOC бесплатно
Основная информация
Обозначение:
ГОСТ Р ИСО/ТС 10303-1242-2015
Статус:
Действует
Тип:
ГОСТ Р ИСО/ТС
Название русское:
Системы автоматизации производства и их интеграция. Представление данных об изделии и обмен этими данными. Часть 1242. Прикладной модуль. Должность в организации
Название английское:
Industrial automation systems and integration. Product data representation and exchange. Part 1242. Application module. Position in organization
Даты и сроки
Дата издания:
04-27-20
Дата введения в действие:
11-01-16
Дата завершения срока действия:
-
Применение и описание
Область и условия применения:
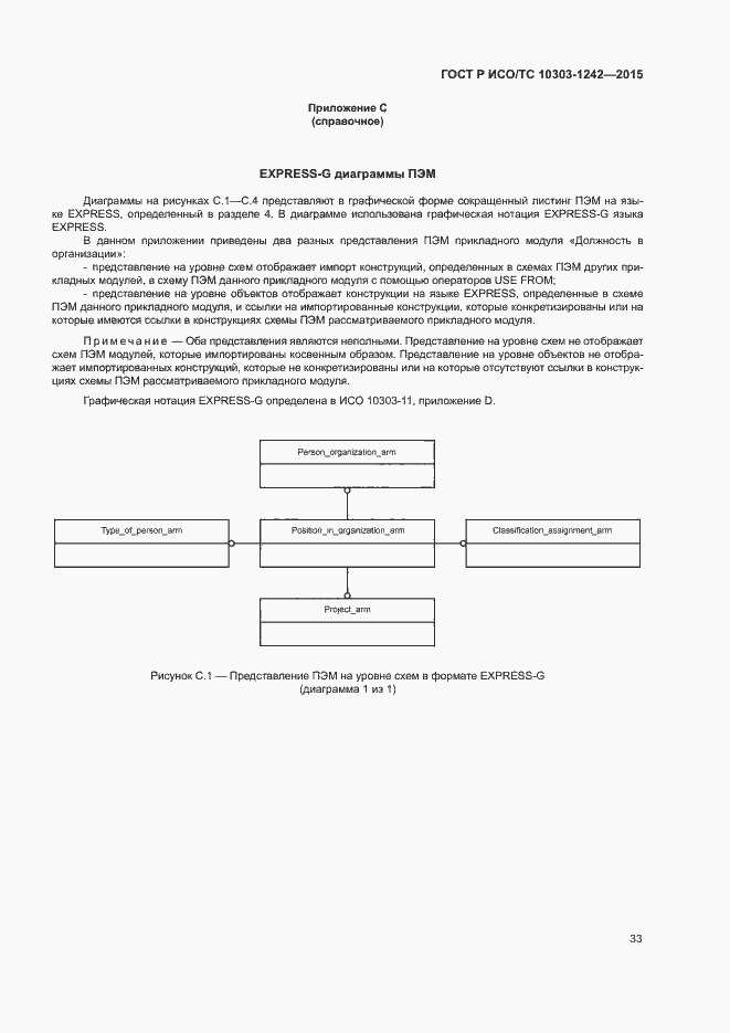
Настоящий стандарт определяет прикладной модуль «Должность в организации». Требования настоящего стандарта распространяются на: - определение должности в организации; - определение типа должности; - взаимосвязь между должностями и организациями; - взаимосвязь между должностями; - взаимосвязь иежду между должностью и сотрудником, организацией или сотрудником в организации
Связи и замены
Заменяющий:
-
Описание стандарта
ГОСТ Р ИСО/ТС 10303-1242-2015 Системы автоматизации производства и их интеграция. Представление данных об изделии и обмен этими данными. Часть 1242. Прикладной модуль. Должность в организации
Страницы стандарта
















































