ГОСТ Р ИСО/ТС 10303-1246-2015 Системы автоматизации производства и их интеграция. Представление данных об изделии и обмен этими данными. Часть 1246. Прикладной модуль. Классифицирующий атрибут
ГОСТ Р ИСО/ТС
Скачать ГОСТ в PDF или DOC бесплатно
Основная информация
Обозначение:
ГОСТ Р ИСО/ТС 10303-1246-2015
Статус:
Действует
Тип:
ГОСТ Р ИСО/ТС
Название русское:
Системы автоматизации производства и их интеграция. Представление данных об изделии и обмен этими данными. Часть 1246. Прикладной модуль. Классифицирующий атрибут
Название английское:
Industrial automation systems and integration. Product data representation and exchange. Part 1246. Application module. Attribute classification
Даты и сроки
Дата издания:
01-23-19
Дата введения в действие:
04-01-16
Дата завершения срока действия:
-
Применение и описание
Область и условия применения:
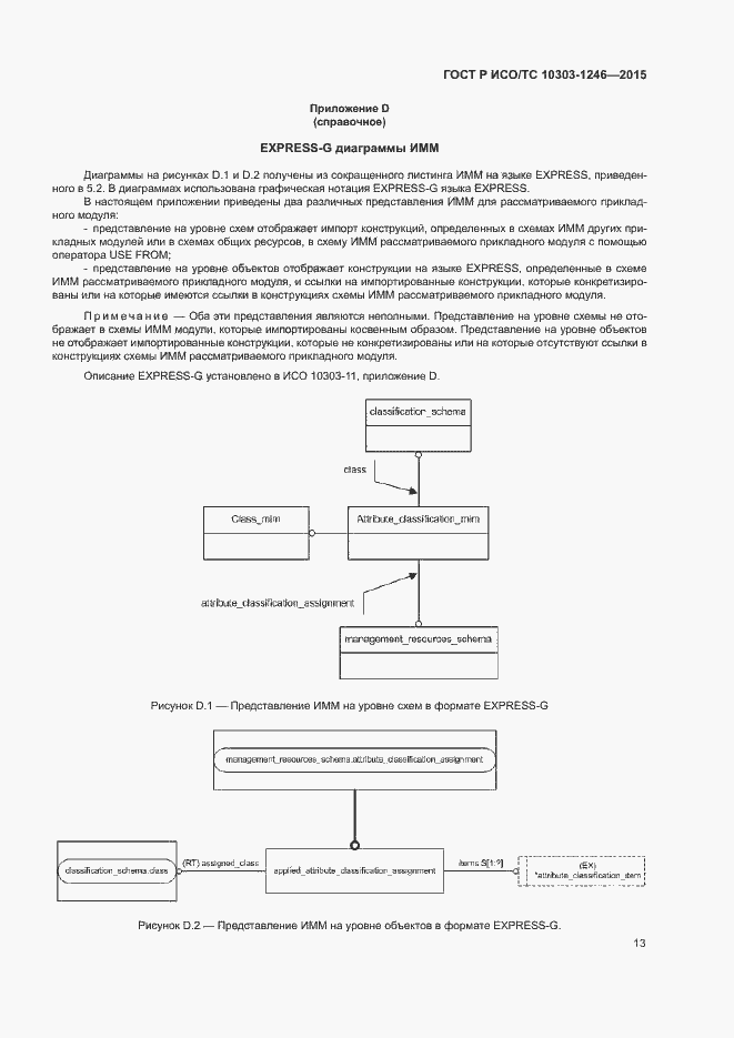
Настоящий стандарт определяет прикладной модуль «Классифицирующий атрибут». В область применения настоящего стандарта входит связь значения, представленного классом, с атрибутом объекта
Связи и замены
Заменяющий:
-
Описание стандарта
ГОСТ Р ИСО/ТС 10303-1246-2015 Системы автоматизации производства и их интеграция. Представление данных об изделии и обмен этими данными. Часть 1246. Прикладной модуль. Классифицирующий атрибут
Страницы стандарта



















