ГОСТ Р ИСО/ТС 10303-1637-2014 Системы автоматизации производства и их интеграция. Представление данных об изделии и обмен этими данными. Часть 1637. Прикладной модуль. Определение макромодулей электронного узла
ГОСТ Р ИСО/ТС
Скачать ГОСТ в PDF или DOC бесплатно
Основная информация
Обозначение:
ГОСТ Р ИСО/ТС 10303-1637-2014
Статус:
Действует
Тип:
ГОСТ Р ИСО/ТС
Название русское:
Системы автоматизации производства и их интеграция. Представление данных об изделии и обмен этими данными. Часть 1637. Прикладной модуль. Определение макромодулей электронного узла
Название английское:
Industrial automation systems and integration. Product data representation and exchange. Part 1637. Application module. Assembly module macro definition
Даты и сроки
Дата издания:
01-25-19
Дата введения в действие:
10-01-15
Дата завершения срока действия:
-
Применение и описание
Область и условия применения:
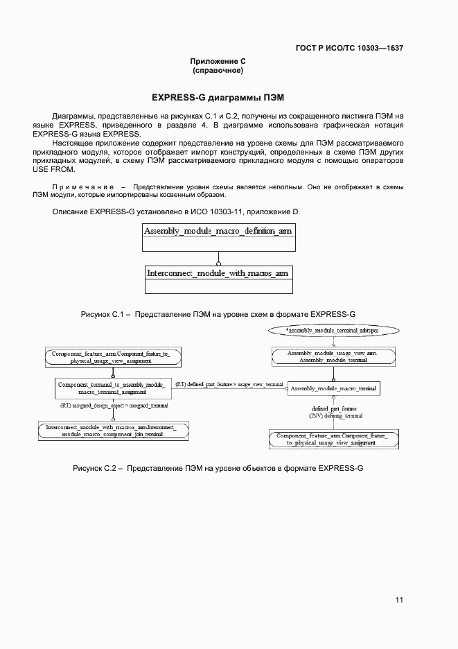
Настоящий стандарт определяет прикладной модуль «Определение макромодулей электронного узла». В область применения настоящего стандарта входит: - представление выводов макромодуля электронного узла; - назначение связей выводов компонентов макромодуля с выводами макромодуля электронного узла; - положения, входящие в область применения прикладного модуля ИСО/ТС 10303-1687 Interconnect module with macros. В область применения настоящего стандарта не входит: - описание электронного узла с точки зрения его использования
Связи и замены
Заменяющий:
-
Описание стандарта
ГОСТ Р ИСО/ТС 10303-1637-2014 Системы автоматизации производства и их интеграция. Представление данных об изделии и обмен этими данными. Часть 1637. Прикладной модуль. Определение макромодулей электронного узла
Страницы стандарта


















