ГОСТ Р ИСО/ТС 10303-1640-2014 Системы автоматизации производства и их интеграция. Представление данных об изделии и обмен этими данными. Часть 1640. Прикладной модуль. Электронный блок с макрокомпонентами
ГОСТ Р ИСО/ТС
Скачать ГОСТ в PDF или DOC бесплатно
Основная информация
Обозначение:
ГОСТ Р ИСО/ТС 10303-1640-2014
Статус:
Действует
Тип:
ГОСТ Р ИСО/ТС
Название русское:
Системы автоматизации производства и их интеграция. Представление данных об изделии и обмен этими данными. Часть 1640. Прикладной модуль. Электронный блок с макрокомпонентами
Название английское:
Industrial automation systems and integration. Product data representation and exchange. Part 1640. Application module. Assembly module with macro component
Даты и сроки
Дата издания:
01-25-19
Дата введения в действие:
10-01-15
Дата завершения срока действия:
-
Применение и описание
Область и условия применения:
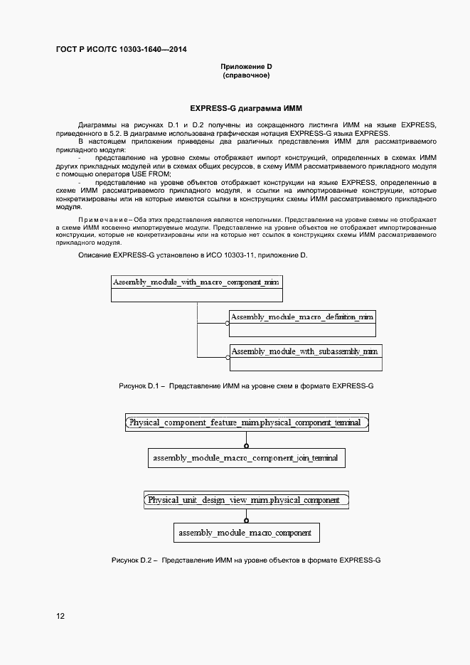
Настоящий стандарт определяет прикладной модуль «Электронный блок с макрокомпонентами». В область применения настоящего стандарта входят описания: - физической конструкции электронного блока; - подробной спецификации элементов соединения компонентов конструкции; - подробного прослеживания требований к конструкции; - реализации требований к связям, отраженной в конструкторской документации; - формы конструкции электронного блока; - управления конфигурацией конструкции электронного блока; - текущего управления изменениями конструкции электронного блока; - макромодулей, используемых как компоненты электронного блока; - положений, входящих в область применения прикладного модуля ИСО/ТС 10303-1637 Assembly module macro definition; - положений, входящих в область применения прикладного модуля ИСО/ТС 10303-1641 Assembly module with subassembly. В область применения настоящего стандарта не входят описания: - функционального представления конструкции электронного блока; - конструкции межсоединений; - определения макромодулей электронного блока
Связи и замены
Заменяющий:
-
Описание стандарта
ГОСТ Р ИСО/ТС 10303-1640-2014 Системы автоматизации производства и их интеграция. Представление данных об изделии и обмен этими данными. Часть 1640. Прикладной модуль. Электронный блок с макрокомпонентами
Страницы стандарта

















