ГОСТ Р ИСО/ТС 10303-1642-2014 Системы автоматизации производства и их интеграция. Представление данных об изделии и обмен этими данными. Часть 1642. Прикладной модуль. Спецификация применения электронного блока
ГОСТ Р ИСО/ТС
Скачать ГОСТ в PDF или DOC бесплатно
Основная информация
Обозначение:
ГОСТ Р ИСО/ТС 10303-1642-2014
Статус:
Действует
Тип:
ГОСТ Р ИСО/ТС
Название русское:
Системы автоматизации производства и их интеграция. Представление данных об изделии и обмен этими данными. Часть 1642. Прикладной модуль. Спецификация применения электронного блока
Название английское:
Industrial automation systems and integration. Product data representation and exchange. Part 1642. Application module. Assembly module usage view
Даты и сроки
Дата издания:
06-25-20
Дата введения в действие:
10-01-15
Дата завершения срока действия:
-
Применение и описание
Область и условия применения:
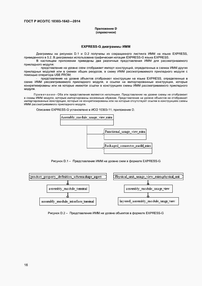
Настоящий стандарт определяет прикладной модуль «Спецификация применения электронного блока». В область применения настоящего стандарта входят: - обозначение вывода и его расположение в пространстве; - обозначение схемы выводов; - свойства формы вывода; - функциональные свойства вывода; - свойства внешней формы изделия; - положения, входящие в область применения прикладного модуля ИСО/ТС 10303-1705 Functional usage view; - положения, входящие в область применения прикладного модуля ИСО/ТС 10303-1708 Packaged connector model
Связи и замены
Заменяющий:
-
Описание стандарта
ГОСТ Р ИСО/ТС 10303-1642-2014 Системы автоматизации производства и их интеграция. Представление данных об изделии и обмен этими данными. Часть 1642. Прикладной модуль. Спецификация применения электронного блока
Страницы стандарта






















