ГОСТ Р ИСО/ТС 10303-1647-2014 Системы автоматизации производства и их интеграция. Представление данных об изделии и обмен этими данными. Часть 1647. Прикладной модуль. Требования к физическому интерфейсу электронного узла
ГОСТ Р ИСО/ТС
Скачать ГОСТ в PDF или DOC бесплатно
Основная информация
Обозначение:
ГОСТ Р ИСО/ТС 10303-1647-2014
Статус:
Действует
Тип:
ГОСТ Р ИСО/ТС
Название русское:
Системы автоматизации производства и их интеграция. Представление данных об изделии и обмен этими данными. Часть 1647. Прикладной модуль. Требования к физическому интерфейсу электронного узла
Название английское:
Industrial automation systems and integration. Product data representation and exchange. Part 1647. Application module. Assembly physical interface requirement
Даты и сроки
Дата издания:
06-25-20
Дата введения в действие:
10-01-15
Дата завершения срока действия:
-
Применение и описание
Область и условия применения:
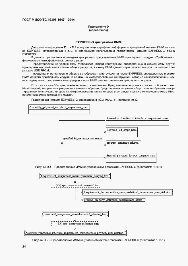
Настоящий стандарт определяет прикладной модуль «Требования к физическому интерфейсу электронного узла». Требования настоящего стандарта распространяются на: - расположение соединительного разъема; - объемное описание конструкции; - описание физического уровня коммуникационного протокола, включая соответствие контактов разъема наименованиям сигналов; - положения, относящиеся к области применения прикладного модуля «Требования к функциональному интерфейсу электронного узла», определенного в ИСО/ТС 10303-1635; - положения, относящиеся к области применения прикладного модуля «Многослойная трехмерная форма», определенного в ИСО/ТС 10303-1694; - положения, относящиеся к области применения прикладного модуля «Шаблон физического расположения элементов многослойной печатной платы», определенного в ИСО/ТС 10303-1737
Связи и замены
Заменяющий:
-
Описание стандарта
ГОСТ Р ИСО/ТС 10303-1647-2014 Системы автоматизации производства и их интеграция. Представление данных об изделии и обмен этими данными. Часть 1647. Прикладной модуль. Требования к физическому интерфейсу электронного узла
Страницы стандарта






























