ГОСТ Р ИСО/ТС 10303-1740-2015 Системы автоматизации производства и их интеграция. Представление данных об изделии и обмен этими данными. Часть 1740. Прикладной модуль. Декомпозиция требований
ГОСТ Р ИСО/ТС
Скачать ГОСТ в PDF или DOC бесплатно
Основная информация
Обозначение:
ГОСТ Р ИСО/ТС 10303-1740-2015
Статус:
Действует
Тип:
ГОСТ Р ИСО/ТС
Название русское:
Системы автоматизации производства и их интеграция. Представление данных об изделии и обмен этими данными. Часть 1740. Прикладной модуль. Декомпозиция требований
Название английское:
Industrial automation systems and integration. Product data representation and exchange. Part 1740. Application module. Requirement decomposition
Даты и сроки
Дата издания:
10-19-20
Дата введения в действие:
10-01-16
Дата завершения срока действия:
-
Применение и описание
Область и условия применения:
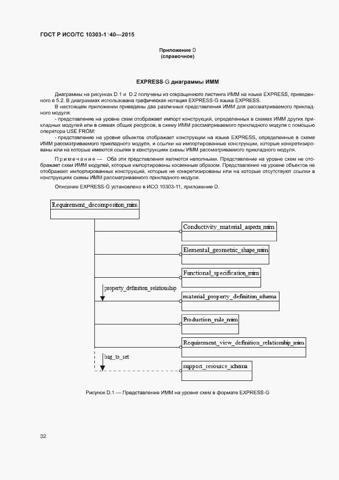
Настоящий стандарт определяет прикладной модуль «Декомпозиция требований». В область применения настоящего стандарта входят: - требования, связанные с рабочим проектом; - геометрические и негеометрические ограничения; - обобщенные категории для классификации требований на предприятии; - декомпозиция требований; - предопределенные отношения между требованиями; - декомпозиция требований с заданием логических отношений между составными частями; - положения, входящие в область применения прикладного модуля ИСО/ТС 10303-1756 Conductivity material aspects; - положения, входящие в область применения прикладного модуля ИСО/ТС 10303-1004 Elemental geometric shape; - положения, входящие в область применения прикладного модуля ИСО/ТС 10303-1679 Functional specification; - положения, входящие в область применения прикладного модуля ИСО/ТС 10303-1739 Production rule; - положения, входящие в область применения прикладного модуля ИСО/ТС 10303-1142 Requirement view definition relationship
Связи и замены
Заменяющий:
-
Описание стандарта
ГОСТ Р ИСО/ТС 10303-1740-2015 Системы автоматизации производства и их интеграция. Представление данных об изделии и обмен этими данными. Часть 1740. Прикладной модуль. Декомпозиция требований
Страницы стандарта









































