ГОСТ Р ИСО/ТС 22745-20-2009 Системы промышленной автоматизации и их интеграция. Открытые технические словари и их применение к основным данным. Часть 20. Процедуры технического обслуживания открытого технического словаря
ГОСТ Р ИСО/ТС
Скачать ГОСТ в PDF или DOC бесплатно
Основная информация
Обозначение:
ГОСТ Р ИСО/ТС 22745-20-2009
Статус:
Заменен
Тип:
ГОСТ Р ИСО/ТС
Название русское:
Системы промышленной автоматизации и их интеграция. Открытые технические словари и их применение к основным данным. Часть 20. Процедуры технического обслуживания открытого технического словаря
Название английское:
Industrial automation systems and integration. Open technical dictionaries and their application to master data. Part 20. Procedures for the maintenance of an open technical dictionary
Даты и сроки
Дата издания:
05-18-11
Дата введения в действие:
10-01-10
Дата завершения срока действия:
07-01-14
Применение и описание
Область и условия применения:
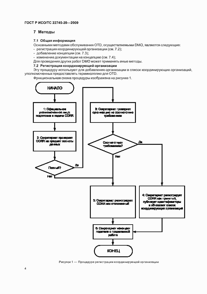
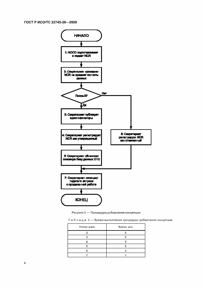
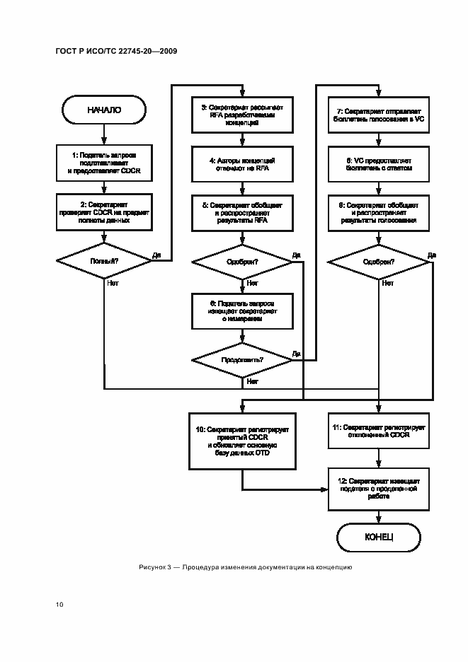
Настоящий стандарт устанавливает методы обслуживания открытого технического словаря (OTD). Стандарт применяют к словарям концепций, терминологию которых представляют координирующие организации, которые стандартизируют термины до их представления в организацию, обслуживающую словарь, с целью включения в словарь концепций. Настоящий стандарт распространяется на: - структуру организации, обеспечивающей ведение и обслуживание OTD; - правила выпуска OTD; - процедуру добавления концепции в OTD; - процедуру изменения документации на концепцию в рамках OTD. Настоящий стандарт не распространяется на: - процедуру стандартизации терминов, используемых в словаре концепций
Связи и замены
Заменяющий:
ГОСТ Р ИСО 22745-20-2013
Описание стандарта
ГОСТ Р ИСО/ТС 22745-20-2009 Системы промышленной автоматизации и их интеграция. Открытые технические словари и их применение к основным данным. Часть 20. Процедуры технического обслуживания открытого технического словаря
Страницы стандарта



























