ГОСТ Р ИСО 13584-511-2010 Системы промышленной автоматизации и интеграция. Библиотека деталей. Часть 511. Механические системы и компоненты общего пользования. Словарь ссылок. Крепежные детали
ГОСТ Р ИСО
Скачать ГОСТ в PDF или DOC бесплатно
Основная информация
Обозначение:
ГОСТ Р ИСО 13584-511-2010
Статус:
Действует
Тип:
ГОСТ Р ИСО
Название русское:
Системы промышленной автоматизации и интеграция. Библиотека деталей. Часть 511. Механические системы и компоненты общего пользования. Словарь ссылок. Крепежные детали
Название английское:
Industrial automation systems and integration. Parts library. Part 511. Mechanical systems and components for general use. Reference dictionary. Fasteners
Даты и сроки
Дата издания:
03-21-16
Дата введения в действие:
09-01-11
Дата завершения срока действия:
-
Применение и описание
Область и условия применения:
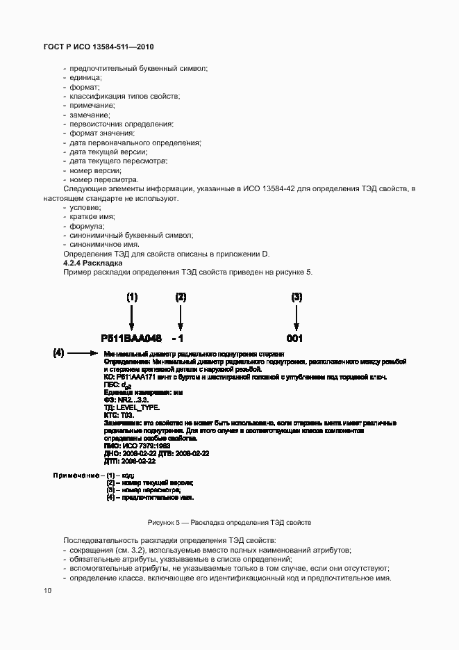
Настоящий стандарт устанавливает словарь ссылок на механические крепежные детали, требования к которым определены в стандартах комплекса ИСО 13584. Словарь ссылок определяет свойства деталей и области значений этих свойств
Связи и замены
Заменяющий:
-
Описание стандарта
ГОСТ Р ИСО 13584-511-2010 Системы промышленной автоматизации и интеграция. Библиотека деталей. Часть 511. Механические системы и компоненты общего пользования. Словарь ссылок. Крепежные детали
Страницы стандарта





















































































































































































