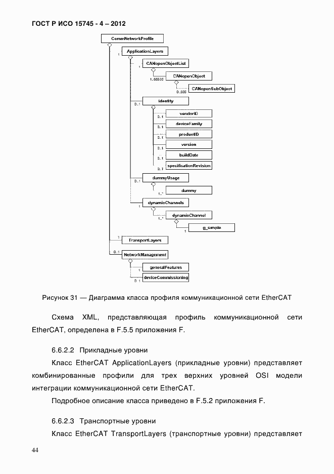
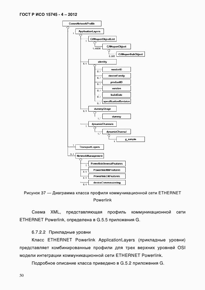
ГОСТ Р ИСО 15745-4-2012 Системы промышленной автоматизации и интеграция. Прикладная интеграционная среда открытых систем. Часть 4. Эталонное описание систем управления на основе стандарта Ethernet
ГОСТ Р ИСО
Скачать ГОСТ в PDF или DOC бесплатно
Основная информация
Обозначение:
ГОСТ Р ИСО 15745-4-2012
Статус:
Действует
Тип:
ГОСТ Р ИСО
Название русское:
Системы промышленной автоматизации и интеграция. Прикладная интеграционная среда открытых систем. Часть 4. Эталонное описание систем управления на основе стандарта Ethernet
Название английское:
Industrial automation systems and integration — Open systems application integration framework. Part 4: Reference description for Ethernet-based control systems
Даты и сроки
Дата введения в действие:
01-01-14
Дата завершения срока действия:
-
Применение и описание
Область и условия применения:
Настоящий стандарт распространяется на описание технологических спецификаций для элементов и правил как профилей коммуникационной сети, так и связанных с коммуникациями аспектов профилей устройств, относящихся к системам управления на основе Ethernet
Связи и замены
Заменяющий:
-
Взамен:
ГОСТ Р ИСО 15745-4-2010
Описание стандарта
ГОСТ Р ИСО 15745-4-2012 Системы промышленной автоматизации и интеграция. Прикладная интеграционная среда открытых систем. Часть 4. Эталонное описание систем управления на основе стандарта Ethernet
Страницы стандарта






















































































































































































































































































































































































































































































































