ГОСТ Р МЭК 62264-5-2012 Интеграция систем управления предприятием. Часть 5. Операции «бизнес-производство»
ГОСТ Р МЭК
Скачать ГОСТ в PDF или DOC бесплатно
Основная информация
Обозначение:
ГОСТ Р МЭК 62264-5-2012
Статус:
Действует
Тип:
ГОСТ Р МЭК
Название русское:
Интеграция систем управления предприятием. Часть 5. Операции «бизнес-производство»
Название английское:
Enterprise-control system integration. Part 5. Business to manufacturing transactions
Даты и сроки
Дата издания:
06-15-20
Дата введения в действие:
01-01-14
Дата завершения срока действия:
-
Применение и описание
Область и условия применения:
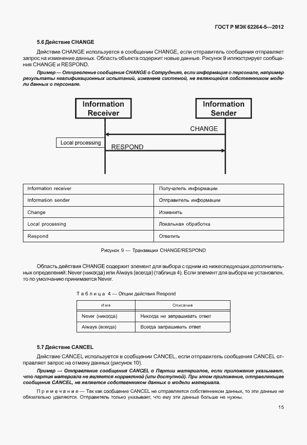
Настоящий стандарт устанавливает групповые операции (транзакции) в терминах обмена информацией между приложениями, выполняющими рыночные и производственные действия, ассоциированные с Уровнями 3 и 4. Обмен информацией обеспечивают операции сбора информации, ее считывания, передачи и хранения для поддержки интеграции системы управления предприятием. Настоящий стандарт соответствует моделям и терминологии, установленным в МЭК 62264-1, а также атрибутам объектов моделей, установленных в МЭК 62264-2. Настоящий стандарт также определяет транзакции, устанавливающие порядок обмена объектами, определенными в МЭК 62264-1, МЭК 62264-2 и в настоящем стандарте. Другие применения моделей транзакций в настоящем стандарте не рассматриваются
Связи и замены
Заменяющий:
-
Описание стандарта
ГОСТ Р МЭК 62264-5-2012 Интеграция систем управления предприятием. Часть 5. Операции «бизнес-производство»
Страницы стандарта




















































































































