ГОСТ ISO 22745-20-2018 Системы промышленной автоматизации и интеграция. Открытые технические словари и их применение к основным данным. Часть 20. Процедуры обслуживания открытого технического словаря
ГОСТ ИСО
Скачать ГОСТ в PDF или DOC бесплатно
Основная информация
Обозначение:
ГОСТ ISO 22745-20-2018
Статус:
Действует
Тип:
ГОСТ ИСО
Название русское:
Системы промышленной автоматизации и интеграция. Открытые технические словари и их применение к основным данным. Часть 20. Процедуры обслуживания открытого технического словаря
Название английское:
Industrial automation systems and integration. Open technical dictionaries and their application to master data. Part 20. Procedures for the maintenance of an open technical dictionary
Даты и сроки
Дата регистрации:
07-27-18
Дата издания:
03-18-19
Дата введения в действие:
09-01-19
Применение и описание
Область и условия применения:
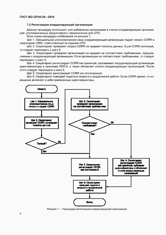
Настоящий стандарт описывает процедуры и методы обслуживания открытого технического словаря (OTD). Настоящий стандарт применяется при использовании словарей концептов, терминологию которых представляют координирующие организации, стандартизирующие термины до их представления в организацию, обслуживающую словарь (DMO), с целью дальнейшего включения этих терминов в словарь концептов
Описание стандарта
ГОСТ ISO 22745-20-2018 Системы промышленной автоматизации и интеграция. Открытые технические словари и их применение к основным данным. Часть 20. Процедуры обслуживания открытого технического словаря
Страницы стандарта






























