ГОСТ ISO/TS 22745-30-2018 Системы промышленной автоматизации и интеграция. Открытые технические словари и их применение к основным данным. Часть 30. Представление руководства по идентификации
ГОСТ Р ИСО/ТС
Скачать ГОСТ в PDF или DOC бесплатно
Основная информация
Обозначение:
ГОСТ ISO/TS 22745-30-2018
Статус:
Действует
Тип:
ГОСТ Р ИСО/ТС
Название русское:
Системы промышленной автоматизации и интеграция. Открытые технические словари и их применение к основным данным. Часть 30. Представление руководства по идентификации
Название английское:
Industrial automation systems and integration. Open technical dictionaries and their application to master data. Part 30. Identification guide representation
Даты и сроки
Дата регистрации:
07-27-18
Дата издания:
03-22-19
Дата введения в действие:
09-01-19
Дата завершения срока действия:
-
Применение и описание
Область и условия применения:
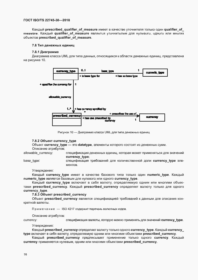
Настоящий стандарт устанавливает концептуальную информационную модель для руководств по идентификации, а также определяет типы данных, необходимые для этих руководств. В настоящем стандарте также определена структура обмена расширяемого языка разметки (XML), предназначенная для руководств по идентификации. Концептуальная модель представлена на унифицированном языке моделирования (UML). Физический формат файла базируется на XML
Связи и замены
Заменяющий:
-
Описание стандарта
ГОСТ ISO/TS 22745-30-2018 Системы промышленной автоматизации и интеграция. Открытые технические словари и их применение к основным данным. Часть 30. Представление руководства по идентификации
Страницы стандарта



































