ГОСТ Р 56272-2014 Системы промышленной автоматизации и интеграция. Интеграция данных жизненного цикла перерабатывающих предприятий, включая нефтяные и газовые производственные предприятия. Часть 8. Практические методы интеграции распределенных систем: практическая реализация сетевого языка онтологий (OWL)
ГОСТ Р
Скачать ГОСТ в PDF или DOC бесплатно
Основная информация
Обозначение:
ГОСТ Р 56272-2014
Статус:
Действует
Тип:
ГОСТ Р
Название русское:
Системы промышленной автоматизации и интеграция. Интеграция данных жизненного цикла перерабатывающих предприятий, включая нефтяные и газовые производственные предприятия. Часть 8. Практические методы интеграции распределенных систем: практическая реализация сетевого языка онтологий (OWL)
Название английское:
Industrial automation systems and integration. Integration of life-cycle data for process plants including oil and gas production facilities. Part 8. Implementation methods for the integration of distributed systems. Web Ontology Language (OWL) implementation
Даты и сроки
Дата издания:
12-14-20
Дата введения в действие:
01-01-16
Дата завершения срока действия:
-
Применение и описание
Область и условия применения:
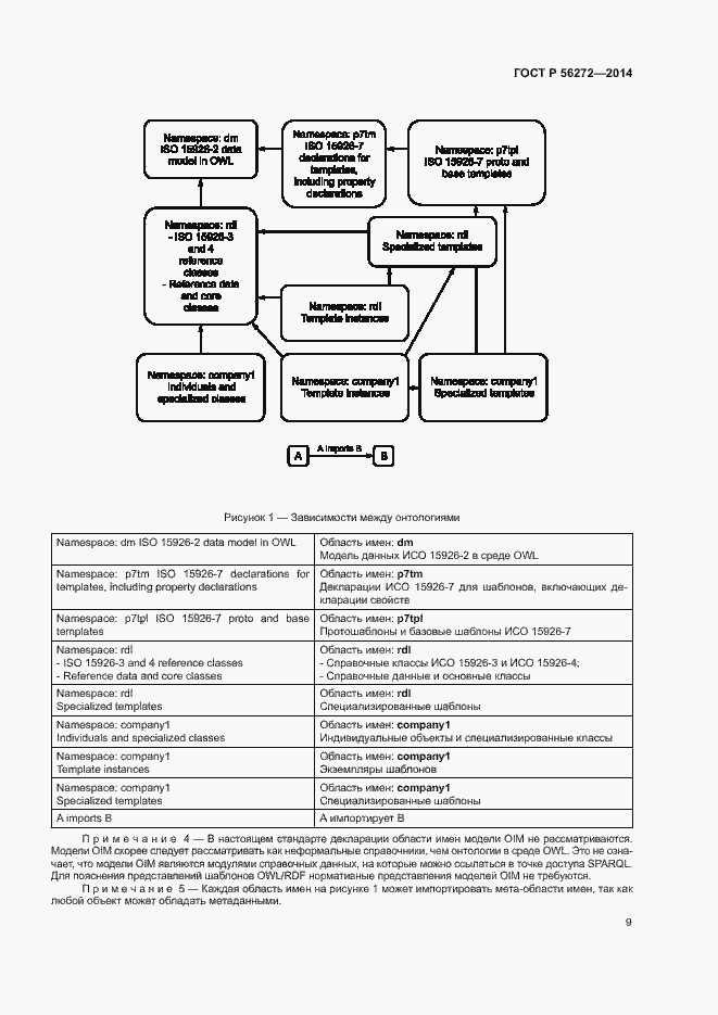
В настоящем стандарте определены вопросы практической реализации методов интеграции, совместного использования, обмена и передачи информации о жизненном цикле перерабатывающих предприятий, полученной путем использования модели данных ИСО 15926-2 и методологии использования шаблонов ИСО/ТС 15926-7. Настоящий стандарт распространяется на: - определение правил использования среды описания ресурса RDF и сетевого языка онтологий OWL в контексте настоящего стандарта; - отображение модели данных ИСО 15926-2 из формата EXPRESS на сетевой язык OWL-2; - определение методологии создания онтологий OWL для справочных данных в соответствии с ИСО/ТС 15926-4; - определение онтологий OWL с использованием базовых шаблонов и исходного множества основных шаблонов; - определение методологии создания онтологий OWL для «специализированного шаблона», устанавливающего типы информации для любого экземпляра (реализации) индивидуального объекта possible_individual в течение его жизненного цикла. Настоящий стандарт не распространяется на: - особый тип языка правил, используемый для применения логики первого порядка; - процедуру принятия решения о том, что хранение (обмен) данных производится либо с помощью верхних (поднятых) данных (lifted data), либо только с помощью нижних (опущенных) экземпляров шаблонов (lowered template instances) и объектов
Связи и замены
Заменяющий:
-
Описание стандарта
ГОСТ Р 56272-2014 Системы промышленной автоматизации и интеграция. Интеграция данных жизненного цикла перерабатывающих предприятий, включая нефтяные и газовые производственные предприятия. Часть 8. Практические методы интеграции распределенных систем: практическая реализация сетевого языка онтологий (OWL)
Страницы стандарта












































