ГОСТ Р ИСО 10303-242-2019 Системы автоматизации производства и их интеграция. Представление данных об изделии и обмен этими данными. Часть 242. Прикладной протокол. Управляемое проектирование на основе модели 3D
ГОСТ Р ИСО
Скачать ГОСТ в PDF или DOC бесплатно
Основная информация
Обозначение:
ГОСТ Р ИСО 10303-242-2019
Статус:
Действует
Тип:
ГОСТ Р ИСО
Название русское:
Системы автоматизации производства и их интеграция. Представление данных об изделии и обмен этими данными. Часть 242. Прикладной протокол. Управляемое проектирование на основе модели 3D
Название английское:
Industrial automation systems and integration. Product data representation and exchange. Part 242. Application protocol. Managed model-based 3D engineering
Даты и сроки
Дата издания:
10-09-19
Дата введения в действие:
01-01-20
Дата завершения срока действия:
-
Применение и описание
Область и условия применения:
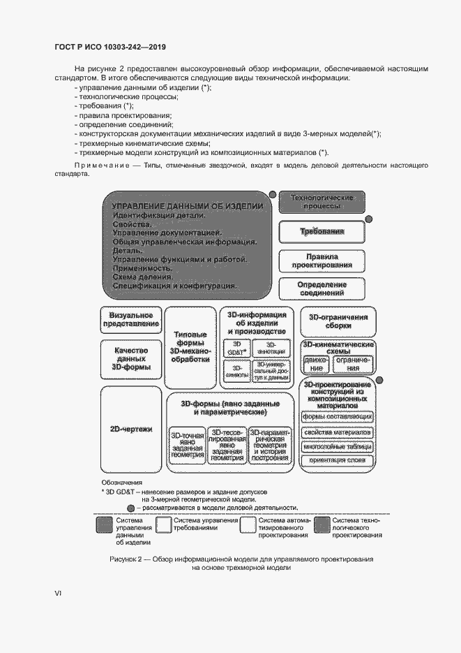
В настоящем стандарте специфицировано использование объединенных информационных ресурсов для обеспечения области действия и удовлетворения потребностей в информации при рабочем проектировании механических деталей и сборочных единиц
Связи и замены
Заменяющий:
-
Описание стандарта
ГОСТ Р ИСО 10303-242-2019 Системы автоматизации производства и их интеграция. Представление данных об изделии и обмен этими данными. Часть 242. Прикладной протокол. Управляемое проектирование на основе модели 3D
Страницы стандарта























































































































































































Приложение №1: Изменение №1 к ГОСТ Р ИСО 10303-242-2019 Обозначение: Изменение №1 к ГОСТ Р ИСО 10303-242-2019 Дата введения в действие: 01.01.2020
