ГОСТ Р 59189-2020 Электронная конструкторская документация. Применение формата JT для представления структуры и геометрических моделей изделия
ГОСТ Р
Скачать ГОСТ в PDF или DOC бесплатно
Основная информация
Обозначение:
ГОСТ Р 59189-2020
Статус:
Действует
Тип:
ГОСТ Р
Название русское:
Электронная конструкторская документация. Применение формата JT для представления структуры и геометрических моделей изделия
Название английское:
Electronic design documentation. JT format application for product structure and geometric model representation
Даты и сроки
Дата издания:
12-04-20
Дата введения в действие:
06-01-21
Дата завершения срока действия:
-
Применение и описание
Область и условия применения:
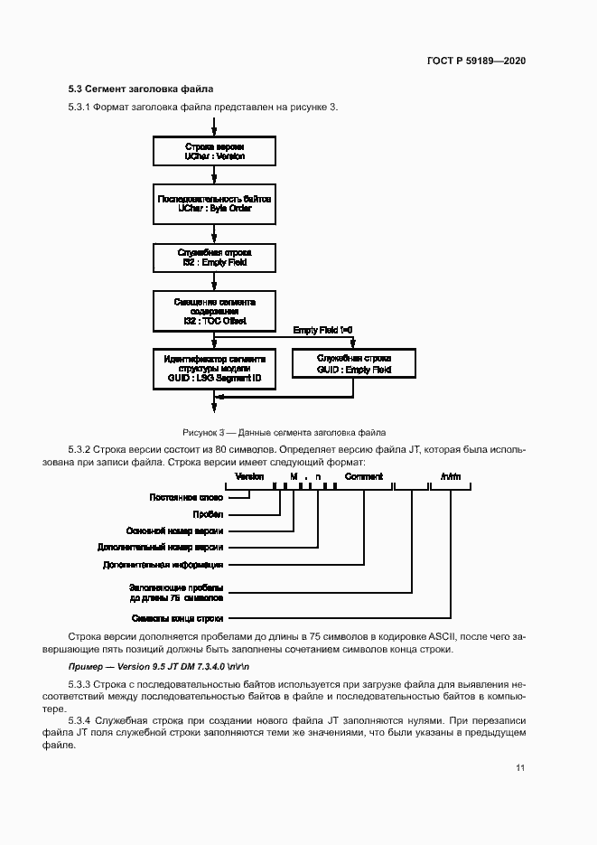
В настоящем стандарте учтены положения [1] и серии стандартов ГОСТ Р ИСО 10303 и описывает структуру, содержание и особенности применения формата JT для представления геометрических данных об изделии. Настоящий стандарт распространяется на представление данных об изделиях машиностроения и приборостроения. Применение положений настоящего стандарта к другим видам изделий определяется по усмотрению организации–разработчика конкретного изделия
Связи и замены
Заменяющий:
-
Описание стандарта
ГОСТ Р 59189-2020 Электронная конструкторская документация. Применение формата JT для представления структуры и геометрических моделей изделия
Страницы стандарта























