ГОСТ 12947-67 Плиты стальные для станочных приспособлений. Конструкция
ГОСТ
Скачать ГОСТ в PDF или DOC бесплатно
Основная информация
Обозначение:
ГОСТ 12947-67
Статус:
Действует
Тип:
ГОСТ
Название русское:
Плиты стальные для станочных приспособлений. Конструкция
Название английское:
Steel plates for machine retaining devices. Design and dimensions
Даты и сроки
Дата издания:
12-01-88
Дата введения в действие:
01-01-68
Дата завершения срока действия:
-
Применение и описание
Область и условия применения:
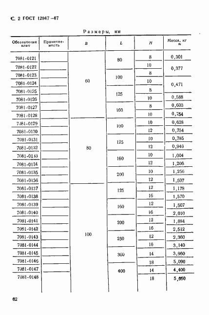
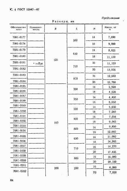
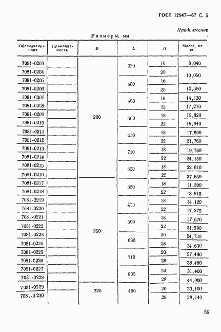
Настоящий стандарт устанавливает конструкцию и размеры стальных плит для станочных приспособлений
Связи и замены
Заменяющий:
-
Взамен:
МН 3181-62
Изменения и переиздания
Список изменений:
№1 от (рег. ) «Срок действия продлен» №2 от (рег. ) «Поправка»
Описание стандарта
ГОСТ 12947-67 Плиты стальные для станочных приспособлений. Конструкция
Страницы стандарта







