ГОСТ 13040-67 Гайки круглые к вспомогательному инструменту. Размеры
ГОСТ
Скачать ГОСТ в PDF или DOC бесплатно
Основная информация
Обозначение:
ГОСТ 13040-67
Статус:
Действует
Тип:
ГОСТ
Название русское:
Гайки круглые к вспомогательному инструменту. Размеры
Название английское:
Round nuts for tool holders. Dimensions
Даты и сроки
Дата издания:
02-01-85
Дата введения в действие:
01-01-68
Дата завершения срока действия:
-
Применение и описание
Область и условия применения:
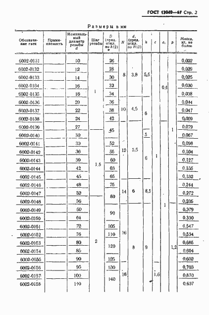
Настоящий стандарт распространяется на гайки круглые к вспомогательному инструменту.
Связи и замены
Заменяющий:
-
Взамен:
МН 110-63;МН 2618-61
Взамен в части:
МН 3652-62 в части гайки
Изменения и переиздания
Список изменений:
№1 от (рег. ) «Срок действия продлен» №2 от (рег. ) «Срок действия продлен»
Описание стандарта
ГОСТ 13040-67 Гайки круглые к вспомогательному инструменту. Размеры
Страницы стандарта





