ГОСТы >
25.060.20 Делительные головки и зажимные приспособления для обрабатываемых деталей и инструментов >
ГОСТ 13044-85
ГОСТ 13044-85 Оправки для насадных зенкеров и разверток. Конструкция и размеры
ГОСТ
Скачать ГОСТ в PDF или DOC бесплатно
Основная информация
Обозначение:
ГОСТ 13044-85
Статус:
Действует
Тип:
ГОСТ
Название русское:
Оправки для насадных зенкеров и разверток. Конструкция и размеры
Название английское:
Arbouns for shell multiflute drills and reamers. Construction and dimensions
Даты и сроки
Дата издания:
08-12-85
Дата введения в действие:
01-01-86
Дата завершения срока действия:
-
Применение и описание
Область и условия применения:
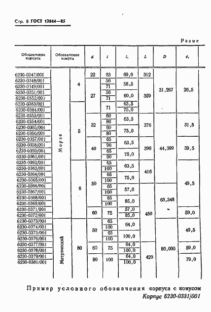
Настоящий стандарт распространяется на оправки для насадных зенкеров и разверток, применяемые на металлорежущих станках
Связи и замены
Заменяющий:
-
Взамен:
ГОСТ 13044-83
Описание стандарта
ГОСТ 13044-85 Оправки для насадных зенкеров и разверток. Конструкция и размеры
Страницы стандарта















