ГОСТ 13152-67 Болты к пазам станочным обработанным. Конструкция
ГОСТ
Скачать ГОСТ в PDF или DOC бесплатно
Основная информация
Обозначение:
ГОСТ 13152-67
Статус:
Действует
Тип:
ГОСТ
Название русское:
Болты к пазам станочным обработанным. Конструкция
Название английское:
Bolts for machine slots. Design and dimensions
Даты и сроки
Дата издания:
05-01-90
Дата введения в действие:
06-30-68
Дата завершения срока действия:
-
Применение и описание
Область и условия применения:
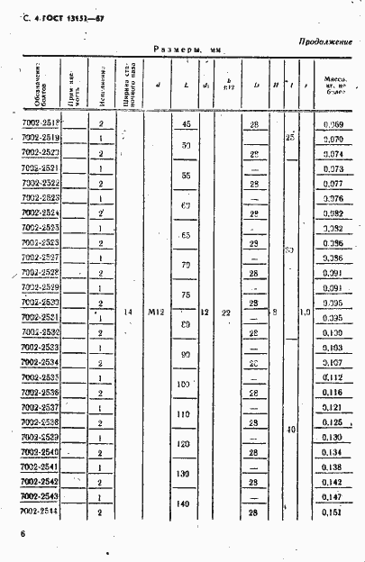
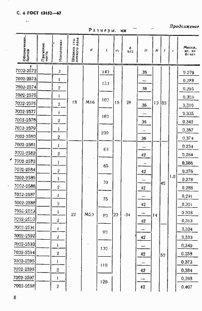
Настоящий стандарт устанавливает конструкцию и размеры болтов к станочным обработанным пазам
Связи и замены
Заменяющий:
-
Взамен:
МН 4381-63
Изменения и переиздания
Список изменений:
№1 от (рег. ) «Срок действия продлен» №2 от (рег. ) «Поправка» №3 от (рег. ) «Срок действия продлен»
Описание стандарта
ГОСТ 13152-67 Болты к пазам станочным обработанным. Конструкция
Страницы стандарта















