ГОСТ 13428-68 Винты нажимные с цилиндрическим концом для станочных приспособлений. Конструкция
ГОСТ
Скачать ГОСТ в PDF или DOC бесплатно
Основная информация
Обозначение:
ГОСТ 13428-68
Статус:
Действует
Тип:
ГОСТ
Название русское:
Винты нажимные с цилиндрическим концом для станочных приспособлений. Конструкция
Название английское:
Dog point pressure screws for machine retaining devices. Design
Даты и сроки
Дата издания:
11-01-82
Дата введения в действие:
01-01-69
Дата завершения срока действия:
-
Применение и описание
Область и условия применения:
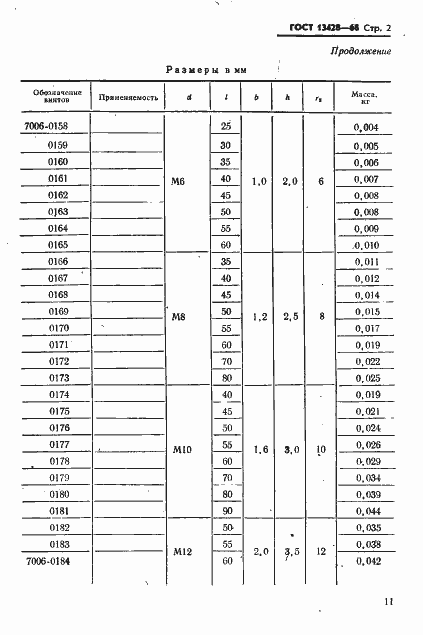
Настоящий стандарт распространяется на винты нажимные с цилиндрическим концом для станочных приспособлений
Связи и замены
Заменяющий:
-
Взамен в части:
ГОСТ 3380-57 в части типа А
Изменения и переиздания
Список изменений:
№1 от (рег. ) «Срок действия продлен» №2 от (рег. ) «Поправка»
Описание стандарта
ГОСТ 13428-68 Винты нажимные с цилиндрическим концом для станочных приспособлений. Конструкция
Страницы стандарта






