ГОСТ 13440-68 Опоры постоянные с плоской головкой для станочных приспособлений. Конструкция
ГОСТ
Скачать ГОСТ в PDF или DOC бесплатно
Основная информация
Обозначение:
ГОСТ 13440-68
Статус:
Действует
Тип:
ГОСТ
Название русское:
Опоры постоянные с плоской головкой для станочных приспособлений. Конструкция
Название английское:
Flat head rest buttons for machine retaining devices. Design
Даты и сроки
Дата издания:
11-01-82
Дата введения в действие:
01-01-69
Дата завершения срока действия:
-
Применение и описание
Область и условия применения:
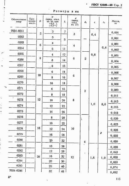
Настоящий стандарт распространяется на опоры постоянные с плоской головкой для станочных приспособлений
Связи и замены
Заменяющий:
-
Взамен в части:
ГОСТ 4083-57 в части типа А
Изменения и переиздания
Список изменений:
№1 от (рег. ) «Срок действия продлен» №2 от (рег. ) «Поправка»
Описание стандарта
ГОСТ 13440-68 Опоры постоянные с плоской головкой для станочных приспособлений. Конструкция
Страницы стандарта





