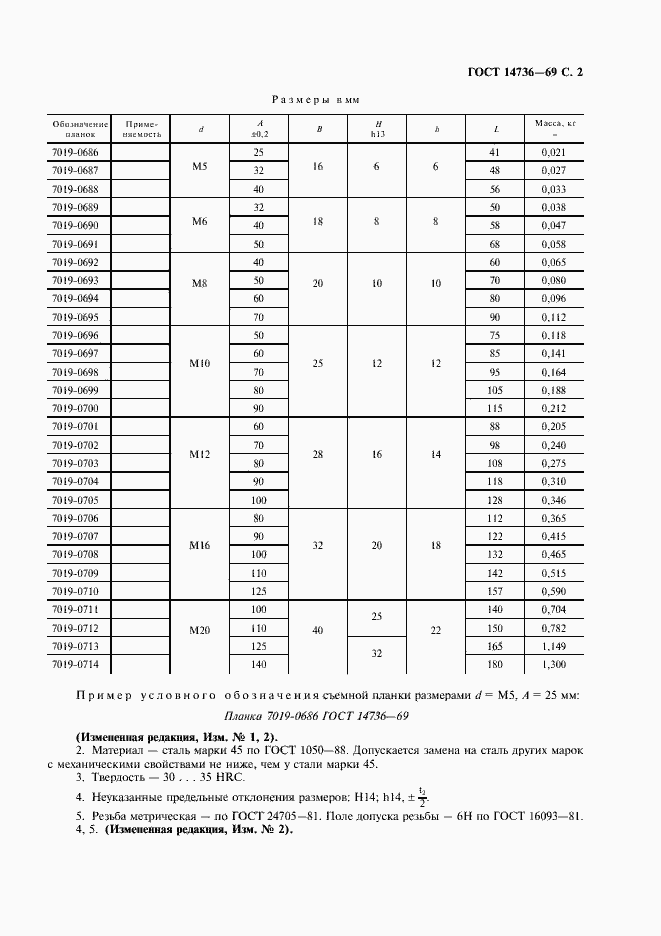
ГОСТ 14736-69 Планки съемные. Конструкция
ГОСТ
Скачать ГОСТ в PDF или DOC бесплатно
Основная информация
Обозначение:
ГОСТ 14736-69
Статус:
Действует
Тип:
ГОСТ
Название русское:
Планки съемные. Конструкция
Название английское:
Detachable clamps. Design
Даты и сроки
Дата издания:
02-01-05
Дата введения в действие:
07-01-70
Дата завершения срока действия:
-
Применение и описание
Область и условия применения:
Настоящий стандарт распространяется на съемные планки, предназначенные для станочных приспособлений
Связи и замены
Заменяющий:
-
Взамен в части:
ГОСТ 9054-59 в части типа Б
Изменения и переиздания
Список изменений:
№1 от (рег. ) «Срок действия продлен» №2 от (рег. ) «Срок действия продлен»
Описание стандарта
ГОСТ 14736-69 Планки съемные. Конструкция
Страницы стандарта



