ГОСТы >
25.060.20 Делительные головки и зажимные приспособления для обрабатываемых деталей и инструментов >
ГОСТ 15071-75
ГОСТ 15071-75 Кольца промежуточные к оправкам для фрезерных станков. Конструкция и размеры
ГОСТ
Скачать ГОСТ в PDF или DOC бесплатно
Основная информация
Обозначение:
ГОСТ 15071-75
Статус:
Действует
Тип:
ГОСТ
Название русское:
Кольца промежуточные к оправкам для фрезерных станков. Конструкция и размеры
Название английское:
Distance rings for tool holder for milling machines. Design and dimensions
Даты и сроки
Дата издания:
01-21-76
Дата введения в действие:
01-01-77
Дата завершения срока действия:
-
Применение и описание
Область и условия применения:
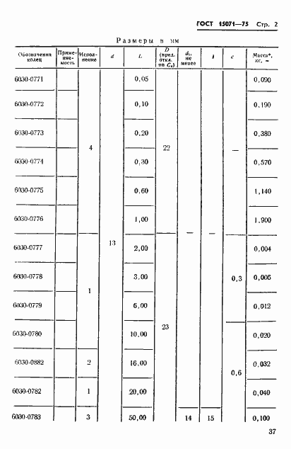
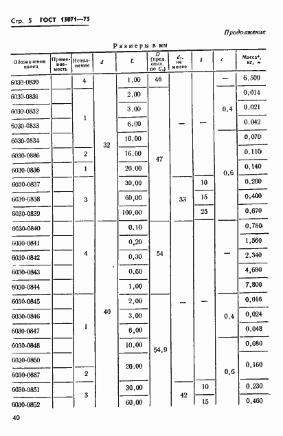
Настоящий стандарт устанавливает конструкцию и размеры колец промежуточных к оправкам для фрезерных станков
Связи и замены
Заменяющий:
-
Взамен:
ГОСТ 15071-69
Изменения и переиздания
Список изменений:
№1 от (рег. ) «Срок действия продлен»
Описание стандарта
ГОСТ 15071-75 Кольца промежуточные к оправкам для фрезерных станков. Конструкция и размеры
Страницы стандарта








