ГОСТы >
25.060.20 Делительные головки и зажимные приспособления для обрабатываемых деталей и инструментов >
ГОСТ 17201-71
ГОСТ 17201-71 Цанги зажимные для инструмента с цилиндрическим хвостовиком. Конструкция
ГОСТ
Скачать ГОСТ в PDF или DOC бесплатно
Основная информация
Обозначение:
ГОСТ 17201-71
Статус:
Действует
Тип:
ГОСТ
Название русское:
Цанги зажимные для инструмента с цилиндрическим хвостовиком. Конструкция
Название английское:
Gripping collets for cutting tools with cylindric shank. Design
Даты и сроки
Дата издания:
05-01-91
Дата введения в действие:
01-01-73
Дата завершения срока действия:
-
Применение и описание
Область и условия применения:
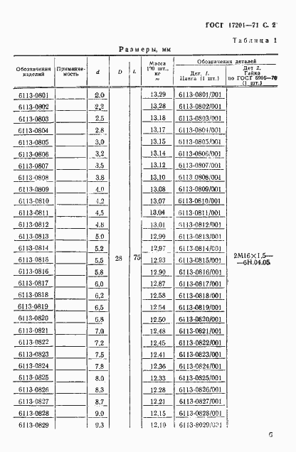
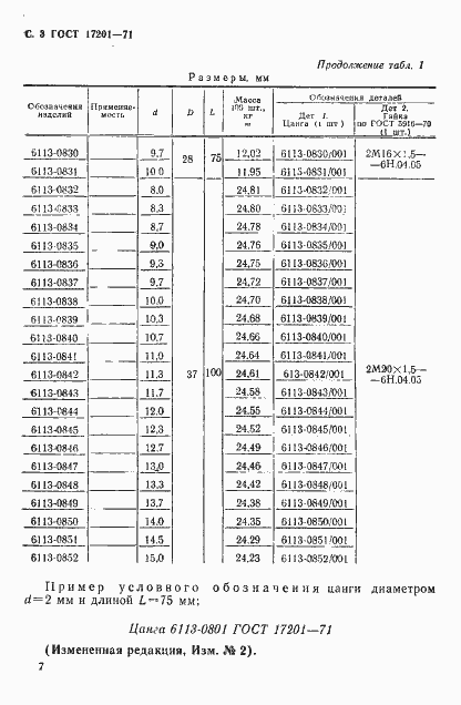
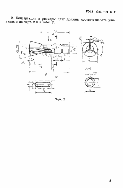
Настоящий стандарт устанавливает конструкцию и размеры зажимных цанг
Связи и замены
Заменяющий:
-
Взамен:
МН 1007-60
Изменения и переиздания
Список изменений:
№1 от (рег. ) «Срок действия продлен» №2 от (рег. ) «Поправка»
Описание стандарта
ГОСТ 17201-71 Цанги зажимные для инструмента с цилиндрическим хвостовиком. Конструкция
Страницы стандарта






