ГОСТы >
25.060.20 Делительные головки и зажимные приспособления для обрабатываемых деталей и инструментов >
ГОСТ 18438-73
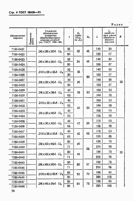
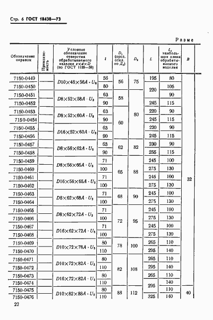
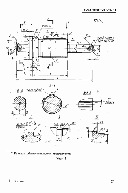
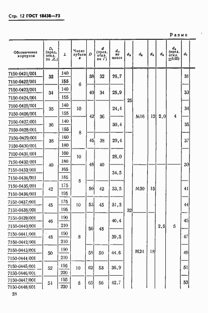
ГОСТ 18438-73 Оправки зубчатые (шлицевые) прямобочные центровые. Конструкция и размеры
ГОСТ
Скачать ГОСТ в PDF или DOC бесплатно
Основная информация
Обозначение:
ГОСТ 18438-73
Статус:
Действует
Тип:
ГОСТ
Название русское:
Оправки зубчатые (шлицевые) прямобочные центровые. Конструкция и размеры
Название английское:
Notched straight-side center arbors. Design and dimensions
Даты и сроки
Дата издания:
05-23-73
Дата введения в действие:
06-30-74
Дата завершения срока действия:
-
Применение и описание
Область и условия применения:
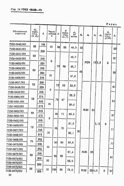
Настоящий стандарт распространяется на центровые зубчатые (шлицевые) оправки, предназначенные для установки изделий с базовым зубчатым отверстием прямобочного профиля зубьев, изготовленных с предельными отклонениями поверхности центрирования D по А, при обработке их на токарных и круглошлифовальных станках
Связи и замены
Заменяющий:
-
Взамен в части:
МН 3623-62 в части оправок исполнения I
Изменения и переиздания
Список изменений:
№1 от (рег. ) «Срок действия продлен»
Описание стандарта
ГОСТ 18438-73 Оправки зубчатые (шлицевые) прямобочные центровые. Конструкция и размеры
Страницы стандарта























