ГОСТы >
25.060.20 Делительные головки и зажимные приспособления для обрабатываемых деталей и инструментов >
ГОСТ 18441-73
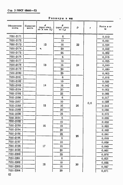
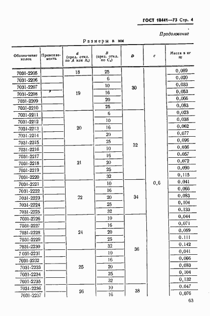
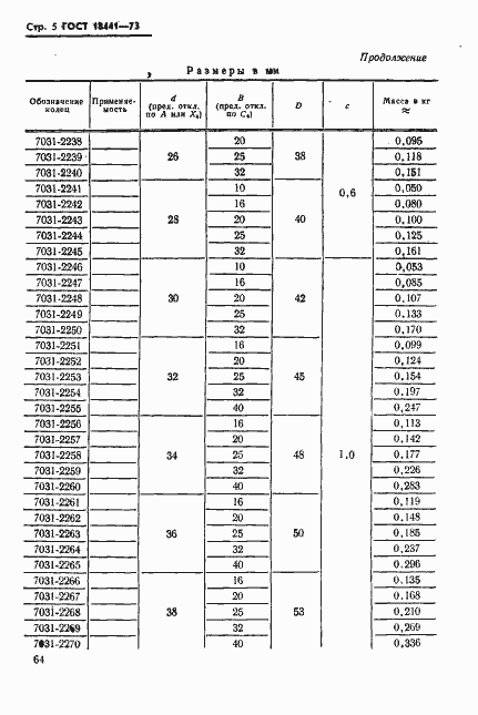
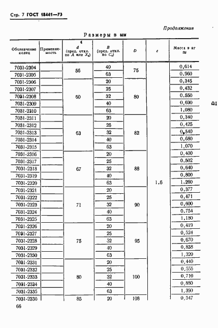
ГОСТ 18441-73 Кольца промежуточные. Конструкция и размеры
ГОСТ
Скачать ГОСТ в PDF или DOC бесплатно
Основная информация
Обозначение:
ГОСТ 18441-73
Статус:
Действует
Тип:
ГОСТ
Название русское:
Кольца промежуточные. Конструкция и размеры
Название английское:
Intermediate rings. Design and dimensions
Даты и сроки
Дата издания:
05-23-73
Дата введения в действие:
06-30-74
Дата завершения срока действия:
-
Применение и описание
Область и условия применения:
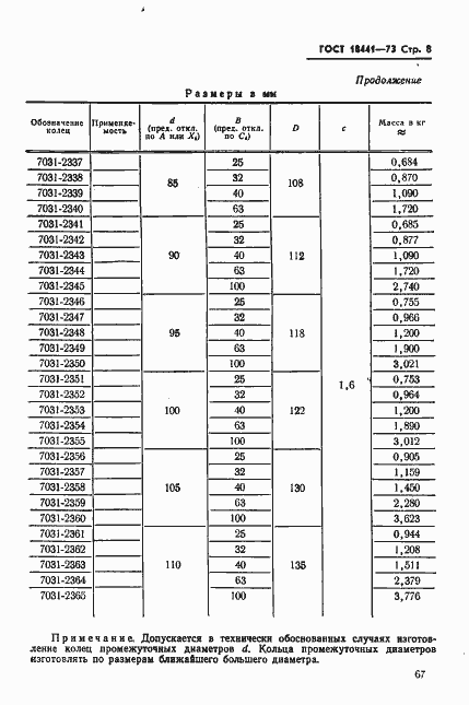
Настоящий стандарт распространяется на промежуточные кольца, предназначенные для цилиндрических оправок к металлорежущим станкам
Связи и замены
Заменяющий:
-
Изменения и переиздания
Список изменений:
№1 от (рег. ) «Срок действия продлен»
Описание стандарта
ГОСТ 18441-73 Кольца промежуточные. Конструкция и размеры
Страницы стандарта










