ГОСТы >
25.060.20 Делительные головки и зажимные приспособления для обрабатываемых деталей и инструментов >
ГОСТ 22843-77
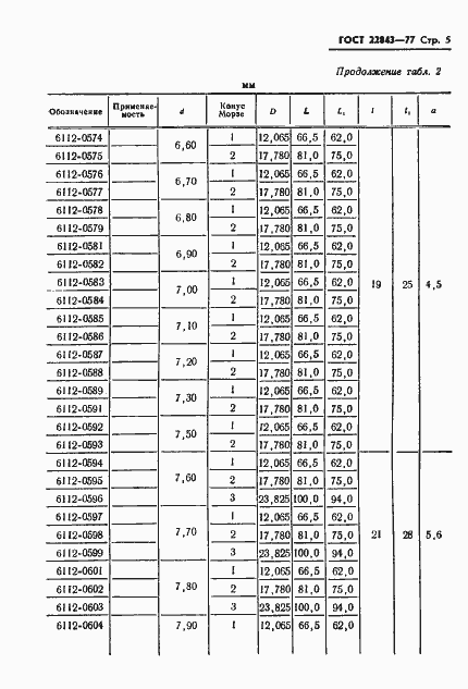
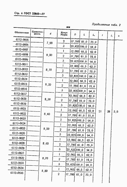
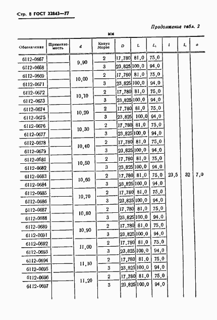
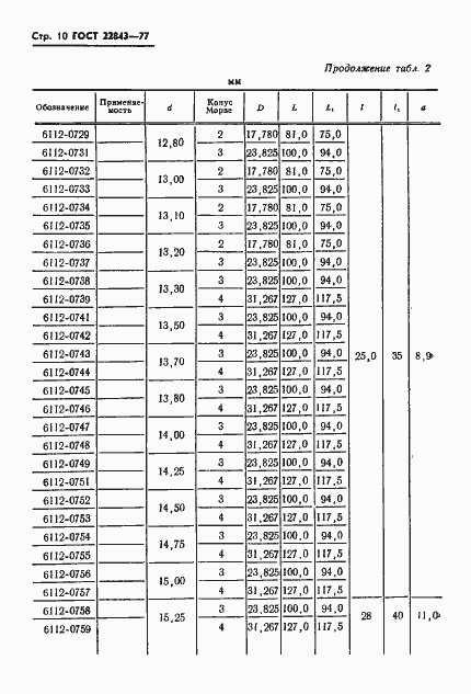
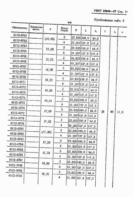
ГОСТ 22843-77 Втулки разрезные для инструмента с цилиндрическим хвостовиком. Конструкция и размеры
ГОСТ
Скачать ГОСТ в PDF или DOC бесплатно
Основная информация
Обозначение:
ГОСТ 22843-77
Статус:
Действует
Тип:
ГОСТ
Название русское:
Втулки разрезные для инструмента с цилиндрическим хвостовиком. Конструкция и размеры
Название английское:
Cutting sleeves for tools with cylindrical sank. Design and dimensions
Даты и сроки
Дата издания:
02-23-78
Дата введения в действие:
01-01-79
Дата завершения срока действия:
-
Применение и описание
Область и условия применения:
Настоящий стандарт распространяется на разрезные втулки для инструмента с цилиндрическим хвостовиком без поводка диаметром от 1 до 3 мм и с поводком диаметром свыше 3 мм
Связи и замены
Заменяющий:
-
Взамен:
МН 1172-65
Изменения и переиздания
Список изменений:
№1 от (рег. ) «Срок действия продлен»
Описание стандарта
ГОСТ 22843-77 Втулки разрезные для инструмента с цилиндрическим хвостовиком. Конструкция и размеры
Страницы стандарта

















