ГОСТы >
25.060.20 Делительные головки и зажимные приспособления для обрабатываемых деталей и инструментов >
ГОСТ 26259-87
ГОСТ 26259-87 Цапфы направляющие. Конструкция и размеры
ГОСТ
Скачать ГОСТ в PDF или DOC бесплатно
Основная информация
Обозначение:
ГОСТ 26259-87
Статус:
Действует
Тип:
ГОСТ
Название русское:
Цапфы направляющие. Конструкция и размеры
Название английское:
Cuides. Design and dimensions
Даты и сроки
Дата издания:
02-05-88
Дата введения в действие:
01-01-89
Дата завершения срока действия:
-
Применение и описание
Область и условия применения:
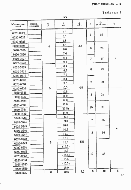
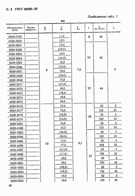
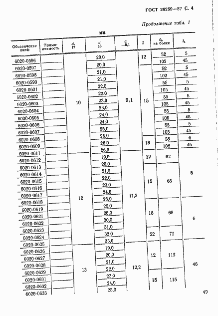
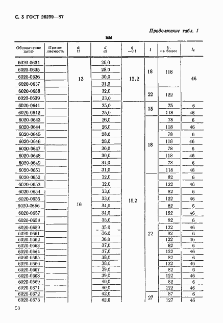
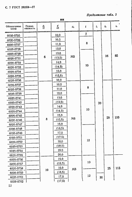
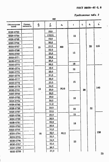
Настоящий стандарт распространяется на сменные направленные цапфы к цилиндрическим цековкам для обработки опорных поверхностей
Связи и замены
Заменяющий:
-
Взамен:
ГОСТ 26259-84
Описание стандарта
ГОСТ 26259-87 Цапфы направляющие. Конструкция и размеры
Страницы стандарта











