ГОСТы >
25.060.20 Делительные головки и зажимные приспособления для обрабатываемых деталей и инструментов >
ГОСТ 26538-85
ГОСТ 26538-85 Оправки с конусом 7:24 для насадных торцовых фрез к станкам с ЧПУ. Основные размеры
ГОСТ
Скачать ГОСТ в PDF или DOC бесплатно
Основная информация
Обозначение:
ГОСТ 26538-85
Статус:
Заменен
Тип:
ГОСТ
Название русское:
Оправки с конусом 7:24 для насадных торцовых фрез к станкам с ЧПУ. Основные размеры
Название английское:
7:24 tapered arbours for shell-type face milling cutters for machines with numerical control. Basic dimensions
Даты и сроки
Дата издания:
07-17-85
Дата введения в действие:
01-01-86
Дата завершения срока действия:
01-01-16
Применение и описание
Область и условия применения:
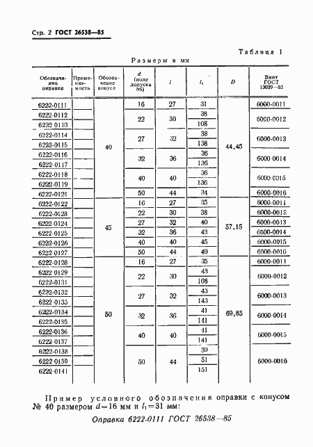
Настоящий стандарт распространяется на оправки с конусом 7:24 для насадных торцовых фрез, применяемые на расточных, сверлильных, фрезерных станках с числовым программным управлением
Связи и замены
Заменяющий:
ГОСТ 32832.3-2014
Описание стандарта
ГОСТ 26538-85 Оправки с конусом 7:24 для насадных торцовых фрез к станкам с ЧПУ. Основные размеры
Страницы стандарта






