ГОСТы >
25.060.20 Делительные головки и зажимные приспособления для обрабатываемых деталей и инструментов >
ГОСТ 31.1066.02-85
ГОСТ 31.1066.02-85 Приспособления к металлорежущим станкам. Оправки с разрезными цангами для точных работ. Основные параметры и размеры
ГОСТ
Скачать ГОСТ в PDF или DOC бесплатно
Основная информация
Обозначение:
ГОСТ 31.1066.02-85
Статус:
Действует
Тип:
ГОСТ
Название русское:
Приспособления к металлорежущим станкам. Оправки с разрезными цангами для точных работ. Основные параметры и размеры
Название английское:
Attachments for metall-cutting machine tools. Mandrels with split collets for precision machining. Basic parameters and dimensions
Даты и сроки
Дата издания:
11-01-05
Дата введения в действие:
01-01-86
Дата завершения срока действия:
-
Применение и описание
Область и условия применения:
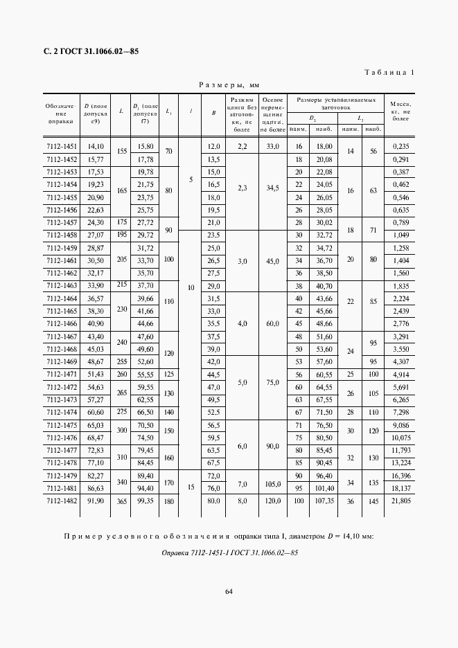
Настоящий стандарт распространяется на оправки с разрезными цангами, позволяющие за счет деформации обеспечивать переналадку на большой диапазон диаметров технологической базы, которые предназначены для установки заготовок типа колец, втулок, гильз с цилиндрическим базовым отверстием при точной обработке их на металлорежущих станках
Связи и замены
Заменяющий:
-
Изменения и переиздания
Список изменений:
№1 от (рег. ) «Поправка» №2 от (рег. ) «Срок действия продлен»
Описание стандарта
ГОСТ 31.1066.02-85 Приспособления к металлорежущим станкам. Оправки с разрезными цангами для точных работ. Основные параметры и размеры
Страницы стандарта
















