ГОСТы >
25.060.20 Делительные головки и зажимные приспособления для обрабатываемых деталей и инструментов >
ГОСТ 31.1066.03-97
ГОСТ 31.1066.03-97 Приспособления к металлорежущим станкам. Оправки центровые для точных работ. Общие технические условия
ГОСТ
Скачать ГОСТ в PDF или DOC бесплатно
Основная информация
Обозначение:
ГОСТ 31.1066.03-97
Статус:
Действует
Тип:
ГОСТ
Название русское:
Приспособления к металлорежущим станкам. Оправки центровые для точных работ. Общие технические условия
Название английское:
Attachments for metal-cutting tools. Centre arbors for precision machining. General specifications
Даты и сроки
Дата регистрации:
04-25-97
Дата издания:
11-01-05
Дата введения в действие:
07-01-98
Дата завершения срока действия:
-
Применение и описание
Область и условия применения:
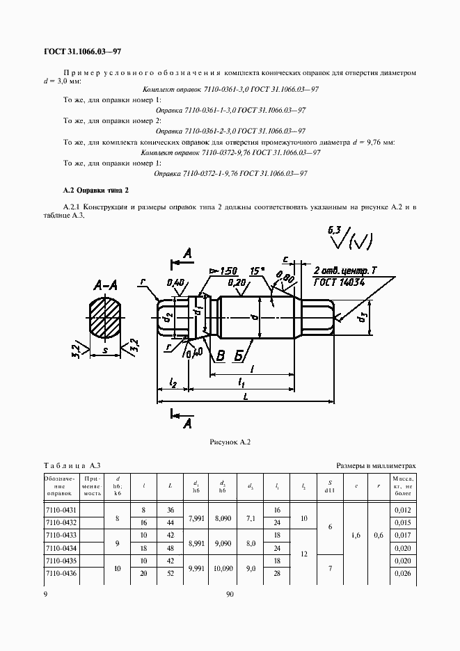
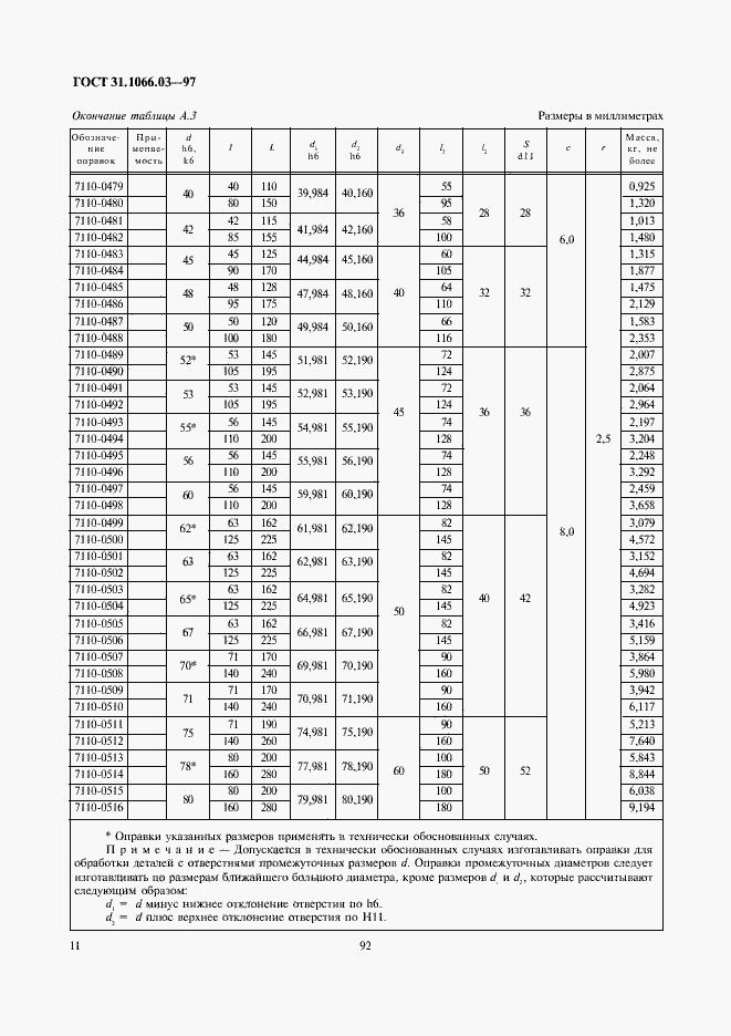
Настоящий стандарт распространяется на центровые оправки, предназначенные для установки деталей с цилиндрическим базовым отверстием при точной обработке их на токарных, шлифовальных и других металлорежущих станках
Связи и замены
Заменяющий:
-
Взамен:
ГОСТ 16211-70;ГОСТ 16212-70;ГОСТ 16213-70
Описание стандарта
ГОСТ 31.1066.03-97 Приспособления к металлорежущим станкам. Оправки центровые для точных работ. Общие технические условия
Страницы стандарта


















