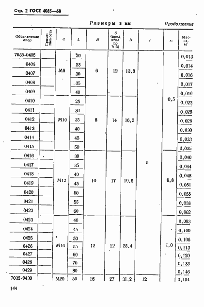
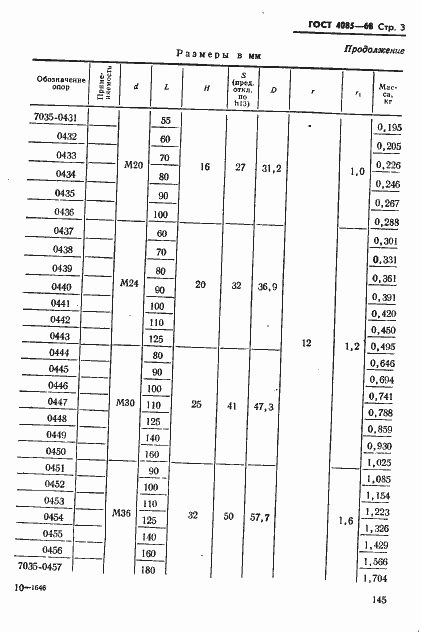
ГОСТ 4085-68 Опоры регулируемые с шестигранной головкой для станочных приспособлений. Конструкция
ГОСТ
Скачать ГОСТ в PDF или DOC бесплатно
Основная информация
Обозначение:
ГОСТ 4085-68
Статус:
Действует
Тип:
ГОСТ
Название русское:
Опоры регулируемые с шестигранной головкой для станочных приспособлений. Конструкция
Название английское:
Adjustable hexagon head rests for machine retaining devices. Design
Даты и сроки
Дата издания:
11-01-82
Дата введения в действие:
01-01-69
Дата завершения срока действия:
-
Применение и описание
Область и условия применения:
Настоящий стандарт устанавливает конструкцию регулируемых опор с шестигранной головкой для станочных приспособлений
Связи и замены
Заменяющий:
-
Взамен:
ГОСТ 4085-57
Изменения и переиздания
Список изменений:
№1 от (рег. ) «Срок действия продлен» №2 от (рег. ) «Поправка»
Описание стандарта
ГОСТ 4085-68 Опоры регулируемые с шестигранной головкой для станочных приспособлений. Конструкция
Страницы стандарта






