ГОСТ 4738-67 Вилки с резьбовым хвостовиком. Конструкция
ГОСТ
Скачать ГОСТ в PDF или DOC бесплатно
Основная информация
Обозначение:
ГОСТ 4738-67
Статус:
Действует
Тип:
ГОСТ
Название русское:
Вилки с резьбовым хвостовиком. Конструкция
Название английское:
Forks with thread shanks. Design
Даты и сроки
Дата издания:
11-01-99
Дата введения в действие:
06-30-67
Дата завершения срока действия:
-
Применение и описание
Область и условия применения:
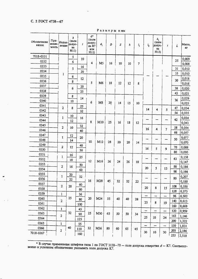
Настоящий стандарт распространяется на вилки с резьбовым хвостовиком и устанавливает конструкцию и размеры
Связи и замены
Заменяющий:
-
Взамен:
ГОСТ 4738-57;МН 5422-64;МН 5423-64
Изменения и переиздания
Список изменений:
№1 от (рег. ) «Срок действия продлен» №2 от (рег. ) «Поправка»
Описание стандарта
ГОСТ 4738-67 Вилки с резьбовым хвостовиком. Конструкция
Страницы стандарта





