ГОСТ 8923-69 Рукоятки цилиндрические. Конструкция
ГОСТ
Скачать ГОСТ в PDF или DOC бесплатно
Основная информация
Обозначение:
ГОСТ 8923-69
Статус:
Действует
Тип:
ГОСТ
Название русское:
Рукоятки цилиндрические. Конструкция
Название английское:
Cylindrical handles. Design
Даты и сроки
Дата издания:
01-01-05
Дата введения в действие:
07-01-70
Дата завершения срока действия:
-
Применение и описание
Область и условия применения:
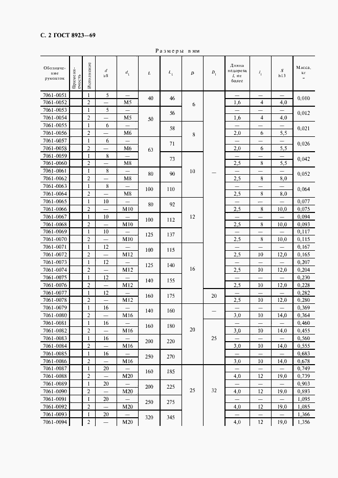
Настоящий стандарт распространяется на цилиндрические рукоятки, предназначенные для станочных приспособлений
Связи и замены
Заменяющий:
-
Взамен:
ГОСТ 8923-58
Изменения и переиздания
Список изменений:
№1 от (рег. ) «Срок действия продлен» №2 от (рег. ) «Поправка»
Описание стандарта
ГОСТ 8923-69 Рукоятки цилиндрические. Конструкция
Страницы стандарта





