ГОСТ 8924-69 Рукоятки с шаровой ручкой. Конструкция
ГОСТ
Скачать ГОСТ в PDF или DOC бесплатно
Основная информация
Обозначение:
ГОСТ 8924-69
Статус:
Действует
Тип:
ГОСТ
Название русское:
Рукоятки с шаровой ручкой. Конструкция
Название английское:
Levers with ball handles. Design
Даты и сроки
Дата издания:
02-01-05
Дата введения в действие:
07-01-70
Дата завершения срока действия:
-
Применение и описание
Область и условия применения:
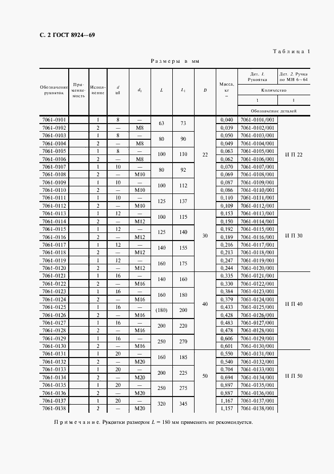
Настоящий стандарт распространяется на рукоятки с шаровой ручкой, предназначенные для станочных приспособлений
Связи и замены
Заменяющий:
-
Взамен:
ГОСТ 8924-58
Изменения и переиздания
Список изменений:
№1 от (рег. ) «Срок действия продлен» №2 от (рег. ) «Поправка»
Описание стандарта
ГОСТ 8924-69 Рукоятки с шаровой ручкой. Конструкция
Страницы стандарта






