ГОСТы >
25.060.20 Делительные головки и зажимные приспособления для обрабатываемых деталей и инструментов >
ГОСТ 26236-84
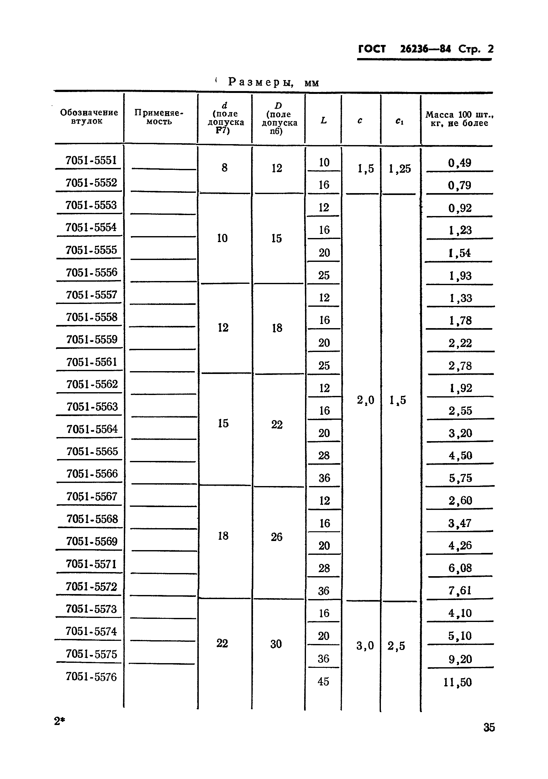
ГОСТ 26236-84 Втулки промежуточные нормальной и повышенной точности. Конструкция и размеры
ГОСТ
Скачать ГОСТ в PDF или DOC бесплатно
Основная информация
Обозначение:
ГОСТ 26236-84
Статус:
Заменен
Тип:
ГОСТ
Название русское:
Втулки промежуточные нормальной и повышенной точности. Конструкция и размеры
Название английское:
Normal and high precision intermediate bushes. Design and dimensions
Даты и сроки
Дата введения в действие:
01-01-86
Дата завершения срока действия:
07-01-96
Связи и замены
Заменяющий:
ГОСТ 30086-93
Описание стандарта
ГОСТ 26236-84 Втулки промежуточные нормальной и повышенной точности. Конструкция и размеры
Страницы стандарта







