ГОСТ 11172-70 Развертки машинные с удлиненной рабочей частью. Конструкция и размеры
ГОСТ
Скачать ГОСТ в PDF или DOC бесплатно
Основная информация
Обозначение:
ГОСТ 11172-70
Статус:
Действует
Тип:
ГОСТ
Название русское:
Развертки машинные с удлиненной рабочей частью. Конструкция и размеры
Название английское:
Extra long machine reamers. Design and dimensions
Даты и сроки
Дата издания:
08-01-89
Дата введения в действие:
06-30-71
Дата завершения срока действия:
-
Применение и описание
Область и условия применения:
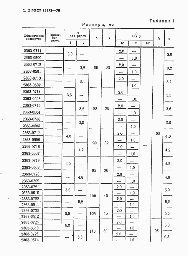
Настоящий стандарт распространяется на развертки с удлиненной рабочей частью, предназначенные для работы через кондукторные втулки: чистовые - для обработки отверстий с полями допусков, с припуском под доводку и черновые
Связи и замены
Заменяющий:
-
Взамен:
ГОСТ 11172-65
Изменения и переиздания
Список изменений:
№1 от (рег. ) «Срок действия продлен» №2 от (рег. ) «Срок действия продлен» №3 от (рег. ) «Срок действия продлен»
Описание стандарта
ГОСТ 11172-70 Развертки машинные с удлиненной рабочей частью. Конструкция и размеры
Страницы стандарта














