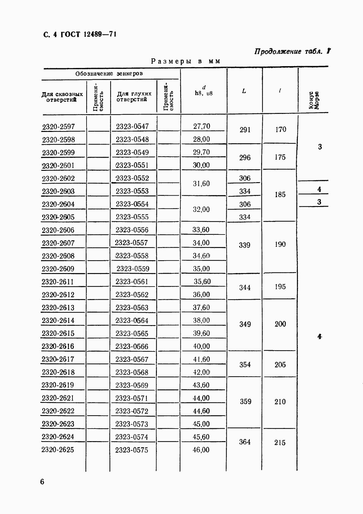
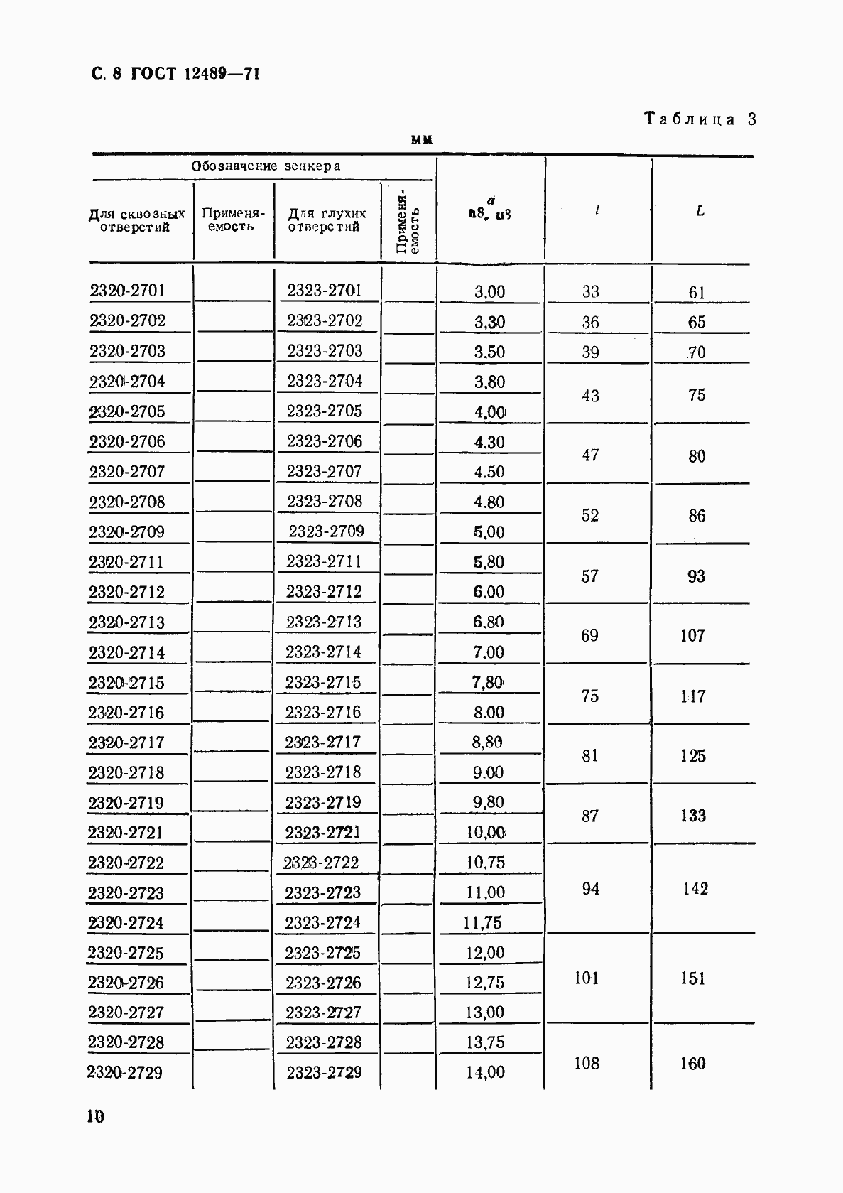
ГОСТ 12489-71 Зенкеры цельные. Конструкция и размеры
ГОСТ
Скачать ГОСТ в PDF или DOC бесплатно
Основная информация
Обозначение:
ГОСТ 12489-71
Статус:
Действует
Тип:
ГОСТ
Название русское:
Зенкеры цельные. Конструкция и размеры
Название английское:
Solid counterbores. Types and basic dimensions
Даты и сроки
Дата издания:
10-01-92
Дата введения в действие:
06-30-72
Дата завершения срока действия:
-
Применение и описание
Область и условия применения:
Настоящий стандарт распространяется на цельные зенкеры с цилиндрическим и коническим хвостовиками и насадные зенкеры, предназначенные для обработки отверстий в деталях из чугуна и стали
Связи и замены
Заменяющий:
-
Взамен:
ГОСТ 12489-67;МН 701-60;МН 702-60;МН 703-60;МН 704-60;МН 705-60;МН 714-60
Изменения и переиздания
Список изменений:
№1 от (рег. ) «Срок действия продлен» №2 от (рег. ) «Срок действия продлен» №3 от (рег. ) «Срок действия продлен» №4 от (рег. ) «Срок действия продлен»
Описание стандарта
ГОСТ 12489-71 Зенкеры цельные. Конструкция и размеры
Страницы стандарта
























