ГОСТ 1604-71 Метчики гаечные. Конструкция
ГОСТ
Скачать ГОСТ в PDF или DOC бесплатно
Основная информация
Обозначение:
ГОСТ 1604-71
Статус:
Действует
Тип:
ГОСТ
Название русское:
Метчики гаечные. Конструкция
Название английское:
Nut taps. Design
Даты и сроки
Дата издания:
06-01-97
Дата введения в действие:
06-30-72
Дата завершения срока действия:
-
Применение и описание
Область и условия применения:
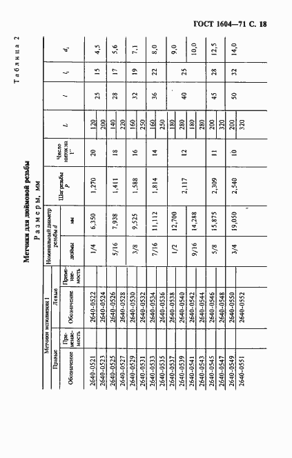
Настоящий стандарт распространяется на гаечные метчики, предназначенные для нарезания гаек с метрической резьбой по ГОСТ 24705 и дюймовой резьбой по ОСТ НКТП 1260
Связи и замены
Заменяющий:
-
Взамен:
ГОСТ 1604-60;МН 2186-61
Изменения и переиздания
Список изменений:
№2 от (рег. ) «Срок действия продлен» №3 от (рег. ) «Срок действия продлен» №4 от (рег. ) «Поправка» №5 от (рег. ) «Срок действия продлен»
Описание стандарта
ГОСТ 1604-71 Метчики гаечные. Конструкция
Страницы стандарта























