ГОСТ 16167-90 Круги алмазные шлифовальные плоские прямого профиля формы 1А1. Основные размеры
ГОСТ
Скачать ГОСТ в PDF или DOC бесплатно
Основная информация
Обозначение:
ГОСТ 16167-90
Статус:
Утратил силу в РФ
Тип:
ГОСТ
Название русское:
Круги алмазные шлифовальные плоские прямого профиля формы 1А1. Основные размеры
Название английское:
Diamond grinding wheels peripheral wheel shape 1A1. Basic dimensions
Даты и сроки
Дата издания:
03-01-01
Дата введения в действие:
01-01-92
Дата завершения срока действия:
01-01-12
Применение и описание
Область и условия применения:
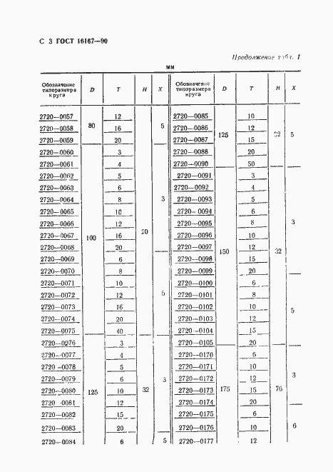
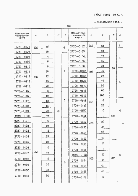
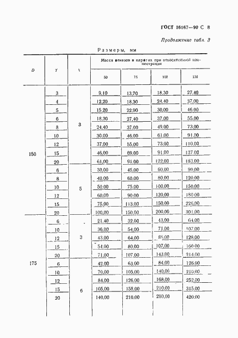
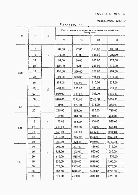
Настоящий стандарт распространяется на алмазные шлифовальные плоские круги прямого профиля формы 1А1 с относительной концентрацией алмазов 50, 75, 100 и 150, изготовляемые для нужд народного хозяйства и экспорта
Связи и замены
Заменяющий:
-
Взамен:
ГОСТ 16167-80
Изменения и переиздания
Список изменений:
№0 от (рег. ) «Поправка к изменению»
Описание стандарта
ГОСТ 16167-90 Круги алмазные шлифовальные плоские прямого профиля формы 1А1. Основные размеры
Страницы стандарта











