ГОСТ Р ИСО 704-2010 Терминологическая работа. Принципы и методы
ГОСТ Р ИСО
Скачать ГОСТ в PDF или DOC бесплатно
Основная информация
Обозначение:
ГОСТ Р ИСО 704-2010
Статус:
Действует
Тип:
ГОСТ Р ИСО
Название русское:
Терминологическая работа. Принципы и методы
Название английское:
Terminology work. Principles and methods
Даты и сроки
Дата издания:
05-25-20
Дата введения в действие:
09-01-11
Дата завершения срока действия:
-
Применение и описание
Область и условия применения:
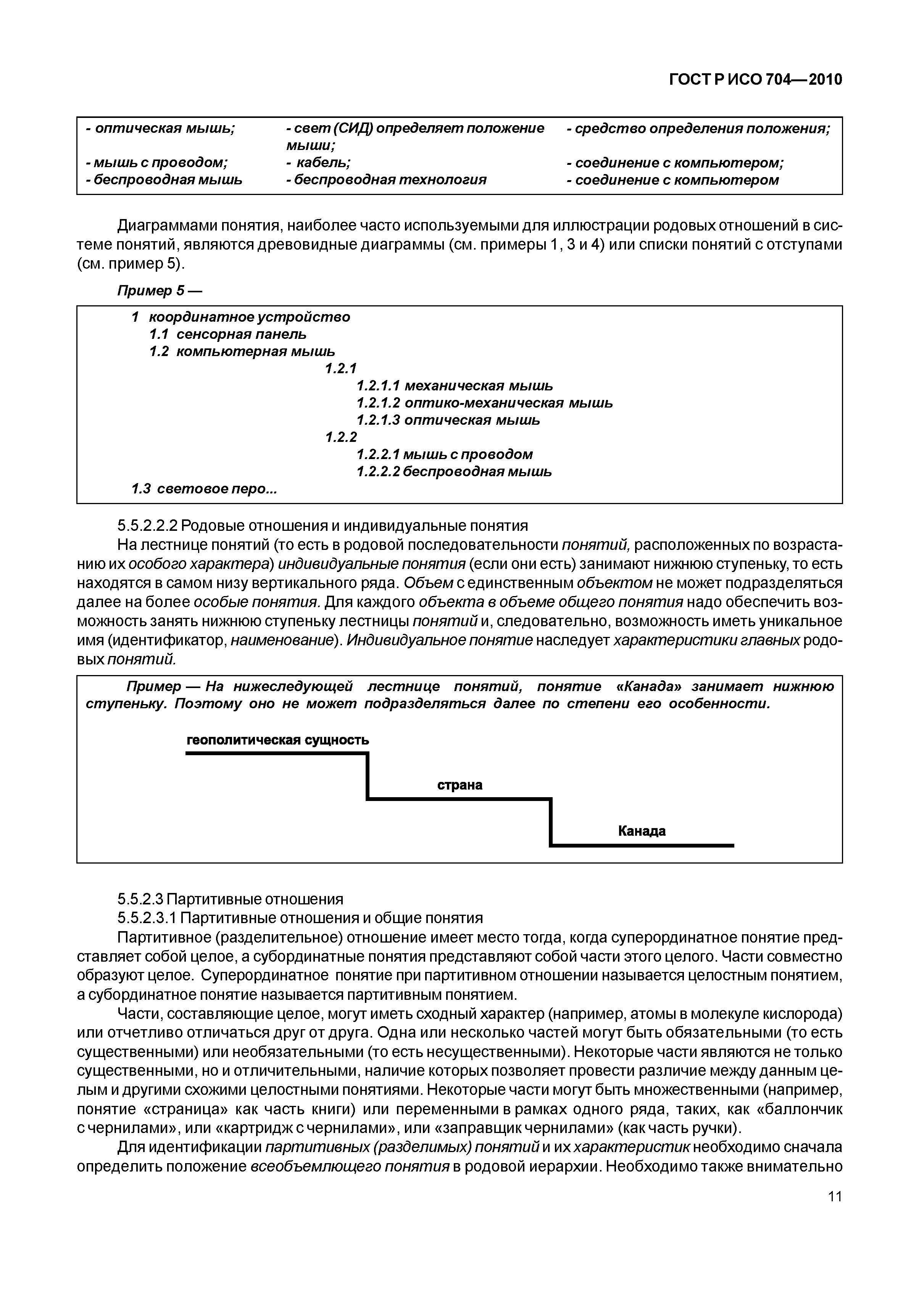
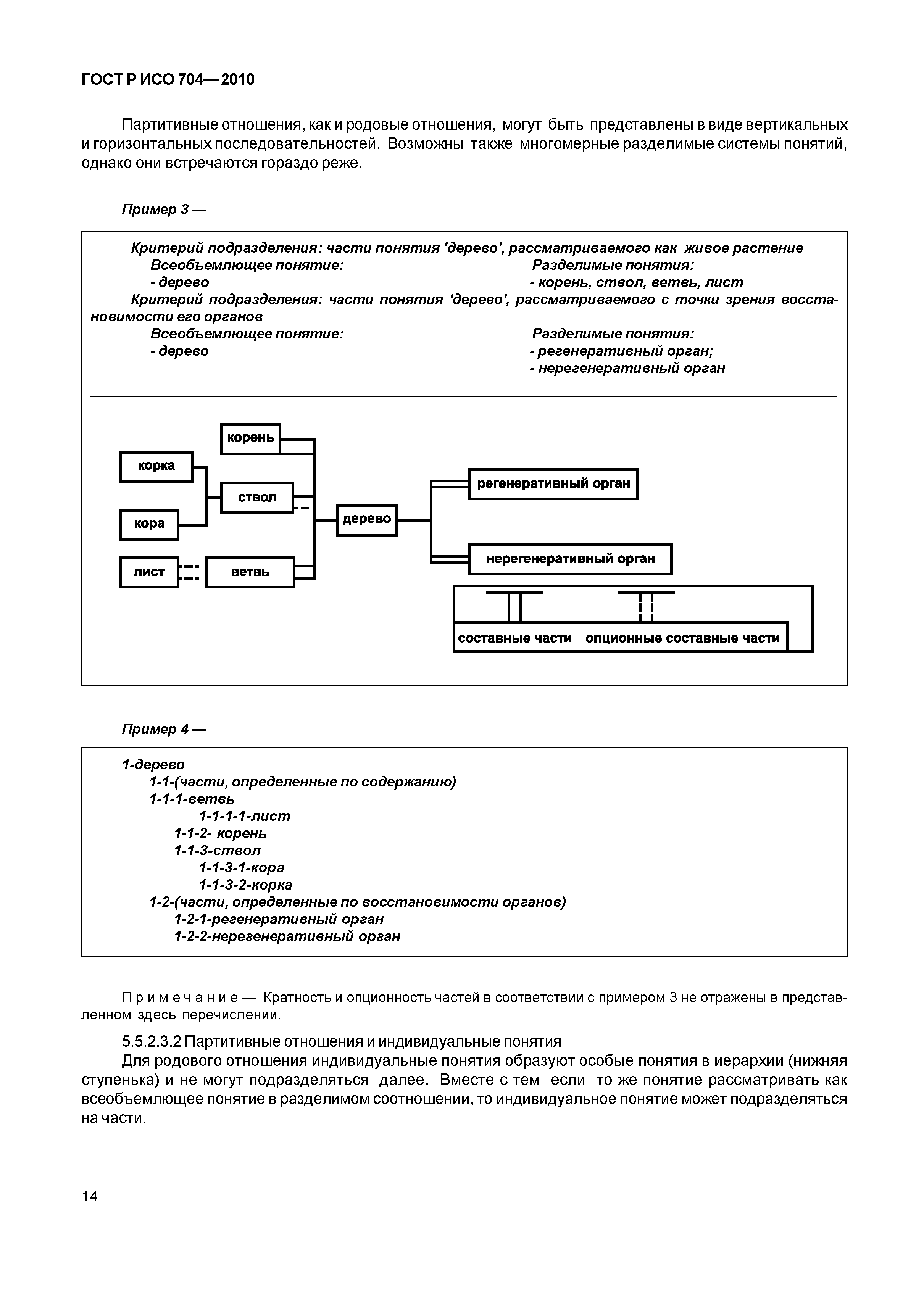
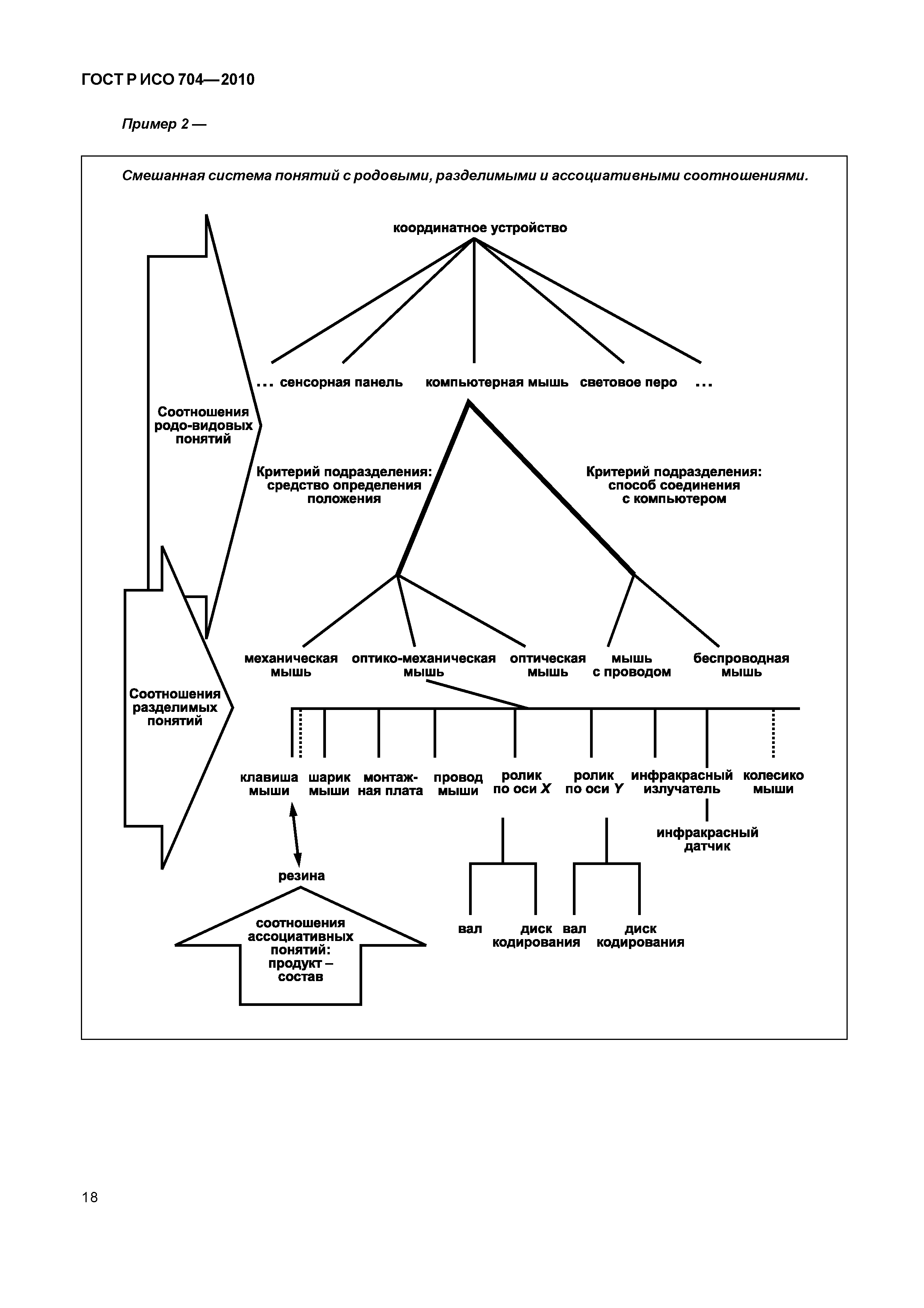
Настоящий стандарт устанавливает и гармонизирует основные принципы и методы разработки и составления терминосистем в рамках и вне рамок стандартизации. Настоящий стандарт описывает связи между предметами, понятиями и их представление с помощью терминосистем. Он также устанавливает основные принципы, управляющие образованием обозначений и построением определений. Полное и доскональное понимание этих принципов требует определенного опыта в области терминоведения. Установленные в настоящем стандарте принципы носят общий характер и применимы к терминологической работе в научной, технической, административной и других областях знаний. Настоящий стандарт не содержит правил оформления международных терминологических стандартов, которые установлены в ИСО 10241
Связи и замены
Заменяющий:
-
Описание стандарта
ГОСТ Р ИСО 704-2010 Терминологическая работа. Принципы и методы
Страницы стандарта
























































