ГОСТ 17025-71 Фрезы концевые с цилиндрическим хвостовиком. Конструкция и размеры
ГОСТ
Скачать ГОСТ в PDF или DOC бесплатно
Основная информация
Обозначение:
ГОСТ 17025-71
Статус:
Утратил силу в РФ
Тип:
ГОСТ
Название русское:
Фрезы концевые с цилиндрическим хвостовиком. Конструкция и размеры
Название английское:
End mills with cylindrical shank. Design and dimensions
Даты и сроки
Дата издания:
09-01-05
Дата введения в действие:
01-01-73
Дата завершения срока действия:
01-01-10
Применение и описание
Область и условия применения:
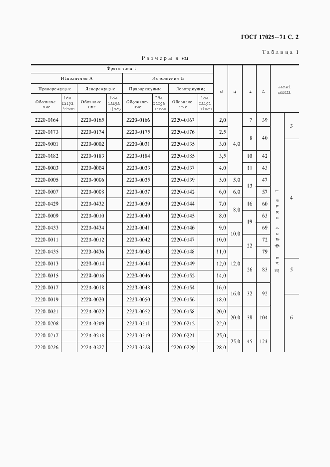
Настоящий стандарт распространяется на концевые фрезы с цилиндрическим хвостовиком, предназначенные для обработки поверхностей и уступов
Связи и замены
Заменяющий:
-
Взамен:
МН 409-65;МН 410-65
Взамен в части:
ГОСТ 8237-57 в части фрез с цилиндрическим хвостовиком
Изменения и переиздания
Список изменений:
№0 от (рег. ) «Поправка к изменению» №1 от (рег. ) «Срок действия продлен» №2 от (рег. ) «Срок действия продлен» №3 от (рег. ) «Срок действия продлен» №4 от (рег. ) «Срок действия продлен» №5 от (рег. ) «Срок действия продлен» №6 от (рег. ) «Срок действия продлен»
Описание стандарта
ГОСТ 17025-71 Фрезы концевые с цилиндрическим хвостовиком. Конструкция и размеры
Страницы стандарта











